Open Access
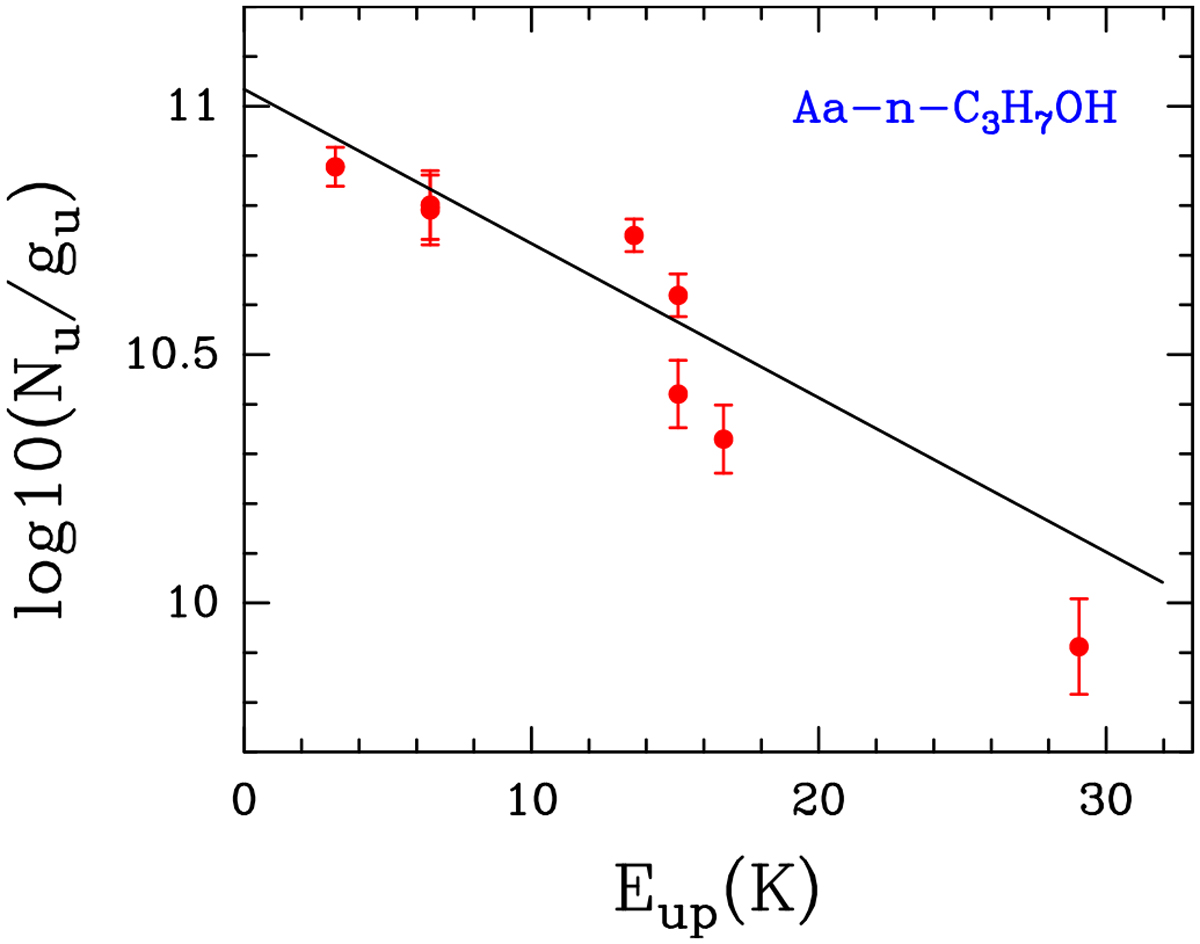
Fig. A.2

Download original image
Rotational diagram obtained by using the rotational transitions of Aa-n-C3H7OH reported in Table 1, except the 92,8→ 91,9 and 101,10→90,9 lines that are blended with U species. The derived parameters areTex=14.0±3.4 K and N=5.1±2.2×1013 cm−2.
Current usage metrics show cumulative count of Article Views (full-text article views including HTML views, PDF and ePub downloads, according to the available data) and Abstracts Views on Vision4Press platform.
Data correspond to usage on the plateform after 2015. The current usage metrics is available 48-96 hours after online publication and is updated daily on week days.
Initial download of the metrics may take a while.