Free Access

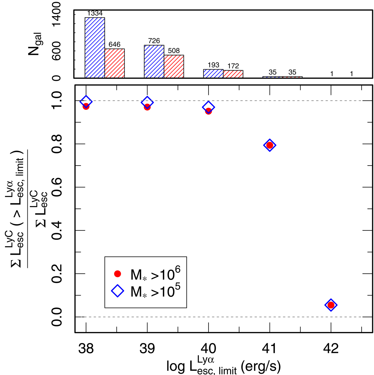
Fig. A.4.

image

Download original image

Fraction of the total escaping LyC luminosity emitted by galaxies brighter than a given Lyα luminosity limit as a function of the Lyα luminosity limit. Here we compare this fraction for two sets of galaxy samples: all galaxies at level 1 with M > 106M (red points) and all galaxies at level 1 with M > 105M (blue points). These galaxies are all taken from the z=6 snapshot. So, the denominator of the fraction is same in both cases: the total LyC emission from all galaxies (at level 1) at z = 6. The numerator calculates the total LyC luminosity of the galaxies brighter than a given Lyα luminosity limit with the two samples, for example the total LyC emitted by all galaxies (at level 1) with M > 106 (or 105) M and > 1040 erg s−1. The histograms above show the number of galaxies brighter than the corresponding Lyα luminosity limit, for example the number of galaxies with for the two mass limits. This is also the number of galaxies used to calculate the corresponding fractions shown in the main plot. We find that when we take all galaxies with M > 106 (105)M, LAEs brighter than 1040 erg s−1 can account for 95% (97%) of the total ionizing luminosity.

Current usage metrics show cumulative count of Article Views (full-text article views including HTML views, PDF and ePub downloads, according to the available data) and Abstracts Views on Vision4Press platform.

Data correspond to usage on the plateform after 2015. The current usage metrics is available 48-96 hours after online publication and is updated daily on week days.

Initial download of the metrics may take a while.