Free Access

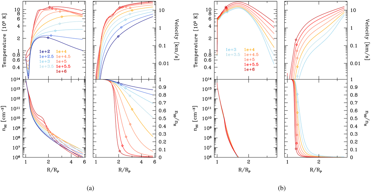
Fig. 1

image

Download original image

Simulated outflow properties for the Neptune-like planet GJ 3470 b (Panel a) and for the hot Jupiter WASP-77A b (panel b). FXUV varies between 102 (deepest blue) and 106 erg cm−2 s−1 (deepest red), in intervals of 0.5 dex. The diamond symbols mark the location of the τ = 1 surface at 13.6 eV.

Current usage metrics show cumulative count of Article Views (full-text article views including HTML views, PDF and ePub downloads, according to the available data) and Abstracts Views on Vision4Press platform.

Data correspond to usage on the plateform after 2015. The current usage metrics is available 48-96 hours after online publication and is updated daily on week days.

Initial download of the metrics may take a while.