Free Access

Fig. 3

image

Download original image

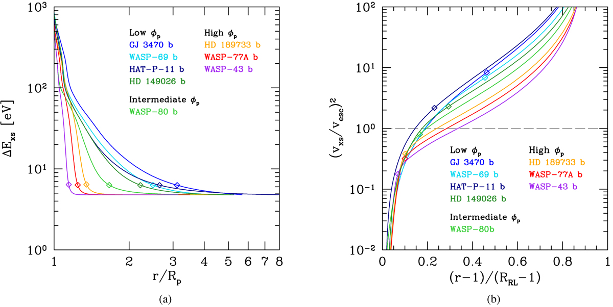
H I mean excess energy defined in Eq. (2) (panel a) as a function of planetary distance for different systems and Second power of the ratio between the excess and escape velocity defined in Eqs. (3) and (4) (panel b); r and RRL are expressed in units of the planet radius, such that the planetary distance on the x axis is given as a fraction of the Roche lobe radius RRL. The dashed line represents the threshold for wind launching, i.e., where (υxs/υesc)2 = 1. In both panels, the diamond symbols indicate the location of the τ = 1 surface at 13.6 eV.

Current usage metrics show cumulative count of Article Views (full-text article views including HTML views, PDF and ePub downloads, according to the available data) and Abstracts Views on Vision4Press platform.

Data correspond to usage on the plateform after 2015. The current usage metrics is available 48-96 hours after online publication and is updated daily on week days.

Initial download of the metrics may take a while.