Free Access

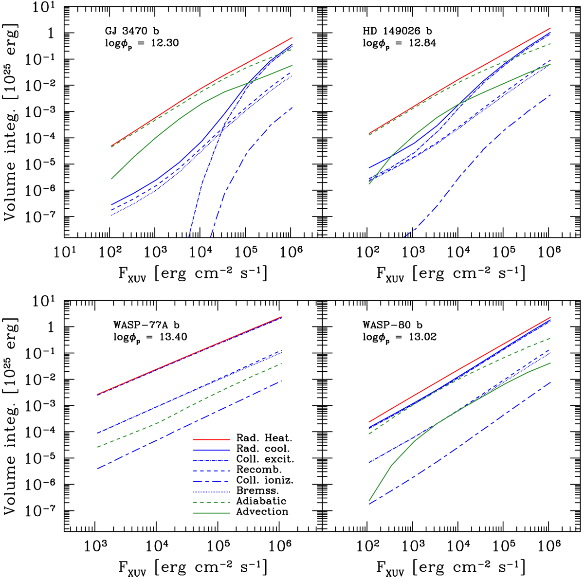
Fig. 6

image

Download original image

Volume integrals of the various cooling processes of our model as functions of the impinging XUV flux. From top-left, moving clockwise, the four panels represent different planets with increasing φp, from : GJ 3470 b (log φp = 12.30), HD 149026 b (log φp = 12.84), WASP-80 b (log φp = 13.02) and WASP-77A b (log φp = 13.40). The various contributions have been calculated using the simulations presented in Sect. 2. The first two objects fall in the range of low gravity planets, the third one is an intermediate gravity planet, while the last one is a genuine high gravity planet. The advection contribution is not shown for WASP-77A b, since it is of the same order of magnitude the order of the numerical approximation of the code.

Current usage metrics show cumulative count of Article Views (full-text article views including HTML views, PDF and ePub downloads, according to the available data) and Abstracts Views on Vision4Press platform.

Data correspond to usage on the plateform after 2015. The current usage metrics is available 48-96 hours after online publication and is updated daily on week days.

Initial download of the metrics may take a while.