Fig. A.3

Download original image
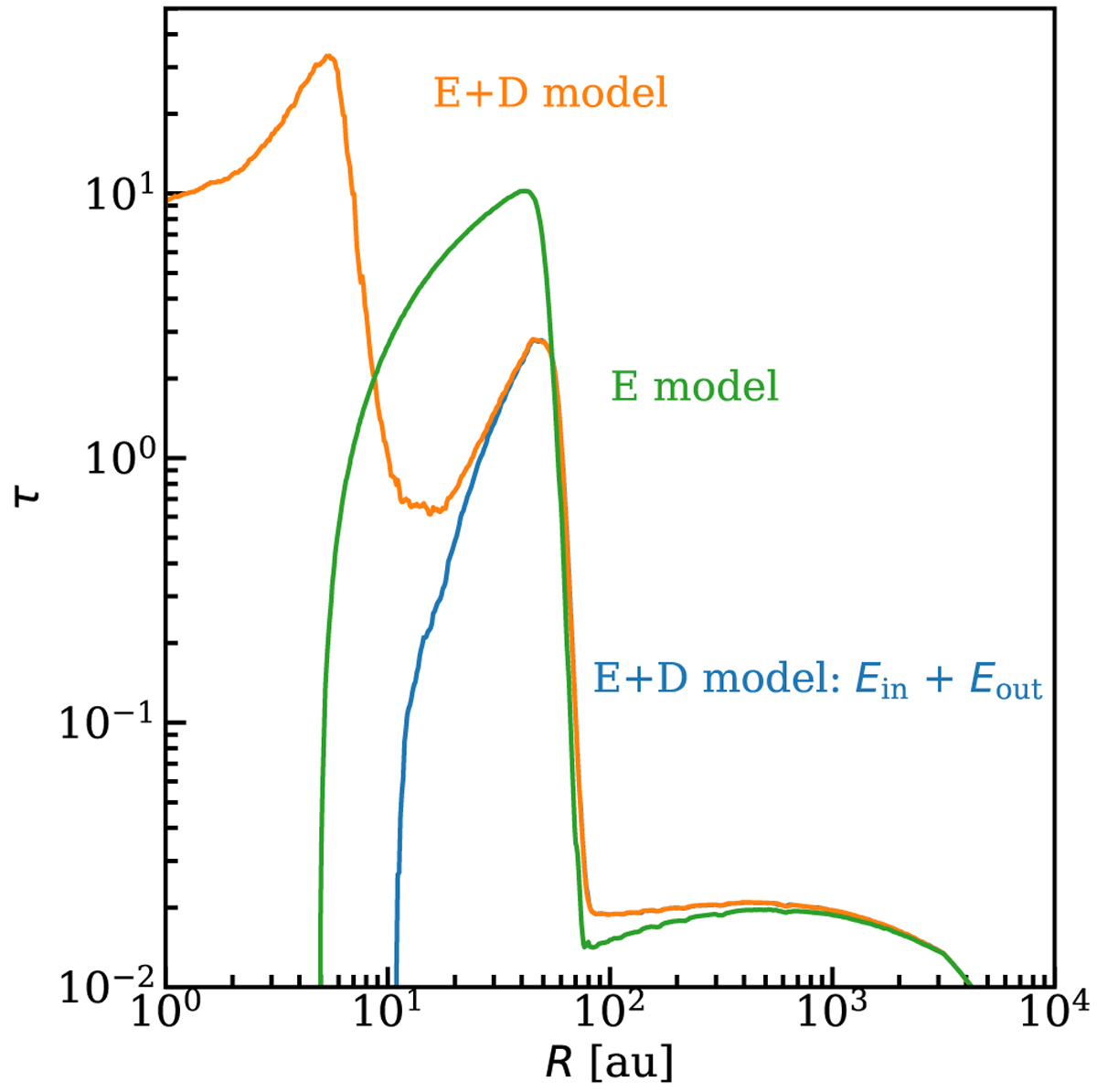
Radial cut through the line optical depth for the fiducial models (small κdust at mm). Orange and green show τ for the envelope-plus-disk and envelope-only fiducial models. Blue shows τ for the envelope component of the envelope-plus-disk model where the model is run by setting the methanol abundance to zero in the disk. The line is more optically thick in the disk than in the envelope.
Current usage metrics show cumulative count of Article Views (full-text article views including HTML views, PDF and ePub downloads, according to the available data) and Abstracts Views on Vision4Press platform.
Data correspond to usage on the plateform after 2015. The current usage metrics is available 48-96 hours after online publication and is updated daily on week days.
Initial download of the metrics may take a while.