Fig. D.1

Download original image
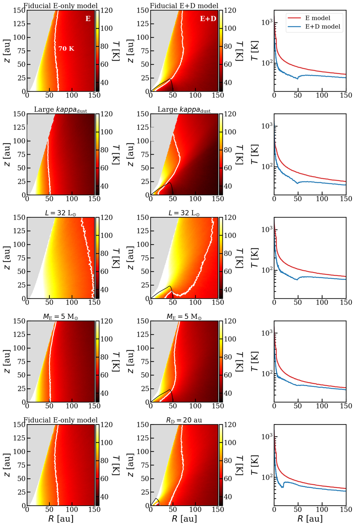
Two-dimensional dust temperatures in the envelope-only models (left column) and in the envelope-plus-disk models (middle column). The white contours show the location in which the temperature is 70 K as an indication of the approximate temperature at which methanol is sublimated at the densities of the models using the gas-grain balance model. The right column shows the comparison of the mid-plane temperature in the envelope-plus-disk models and the envelope-only models. The rows from top to bottom present the fiducial model, the fiducial model when the dust grains have a high mm opacity, the fiducial model with a stellar luminosity of 32 L⊙, the fiducial model when the envelope mass is 5 M⊙, and the fiducial model with a disk radius of 20 au.
Current usage metrics show cumulative count of Article Views (full-text article views including HTML views, PDF and ePub downloads, according to the available data) and Abstracts Views on Vision4Press platform.
Data correspond to usage on the plateform after 2015. The current usage metrics is available 48-96 hours after online publication and is updated daily on week days.
Initial download of the metrics may take a while.