Free Access
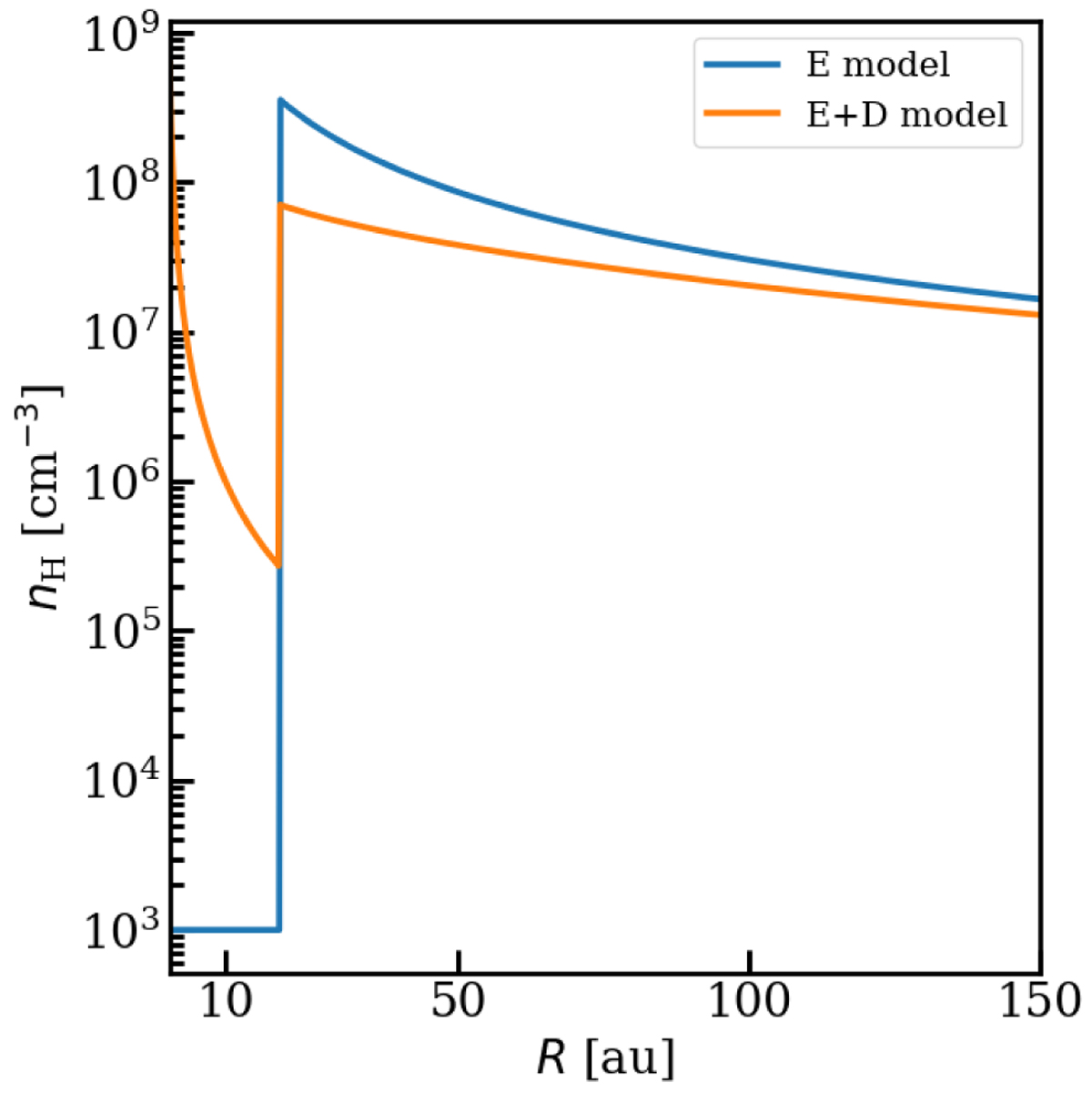
Fig. E.6

Download original image
Cut through the densities of the fiducial envelope-only and envelope-plus-disk model. The cut is in a direction just above where the disk is located to compare the densities in the envelope-only model and the envelope component of the envelope-plus-disk model.
Current usage metrics show cumulative count of Article Views (full-text article views including HTML views, PDF and ePub downloads, according to the available data) and Abstracts Views on Vision4Press platform.
Data correspond to usage on the plateform after 2015. The current usage metrics is available 48-96 hours after online publication and is updated daily on week days.
Initial download of the metrics may take a while.