Fig. 5

Download original image
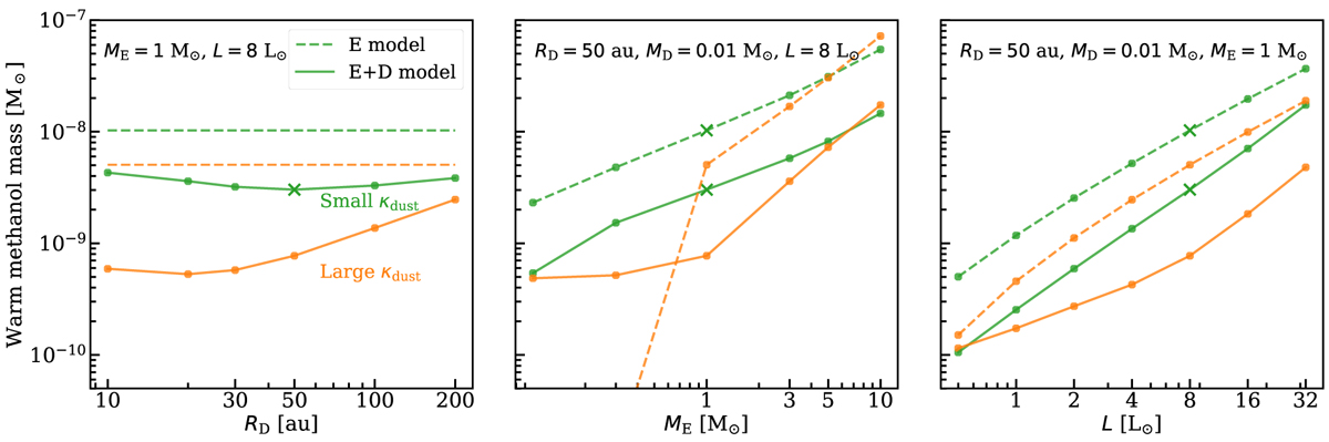
Change in warm methanol mass with disk radius (left panel), envelope mass (middle panel), and luminosity (right panel). The dashed lines show the envelope-only models, and the solid lines show the envelope-plus-disk models. The fiducial models are indicated by a cross. The warm methanol mass is computed inside the methanol snow surface where the methanol abundance is higher than 10–9 in the envelope and higher than 10–11 in the disk (i.e. the methanol mass in Din and Ein in Fig. 2) for models with low mm opacity dust grains (green) and high mm opacity dust grains (orange). In the models in which RD is varied, luminosity and mass of the envelope are fixed to 8 L⊙ and 1 M⊙. The dashed lines are constant in the left panel because the envelope-only models do not have a disk for which its radius can be altered. Where ME is varied, the luminosity, disk mass, and radius are fixed to 8 L⊙, 0.01 M⊙, and 50 au. Where the luminosity is varied, the envelope mass, disk mass, and radius are fixed to 1 M⊙, 0.01 M⊙, and 50 au.
Current usage metrics show cumulative count of Article Views (full-text article views including HTML views, PDF and ePub downloads, according to the available data) and Abstracts Views on Vision4Press platform.
Data correspond to usage on the plateform after 2015. The current usage metrics is available 48-96 hours after online publication and is updated daily on week days.
Initial download of the metrics may take a while.