Fig. 7.

Download original image
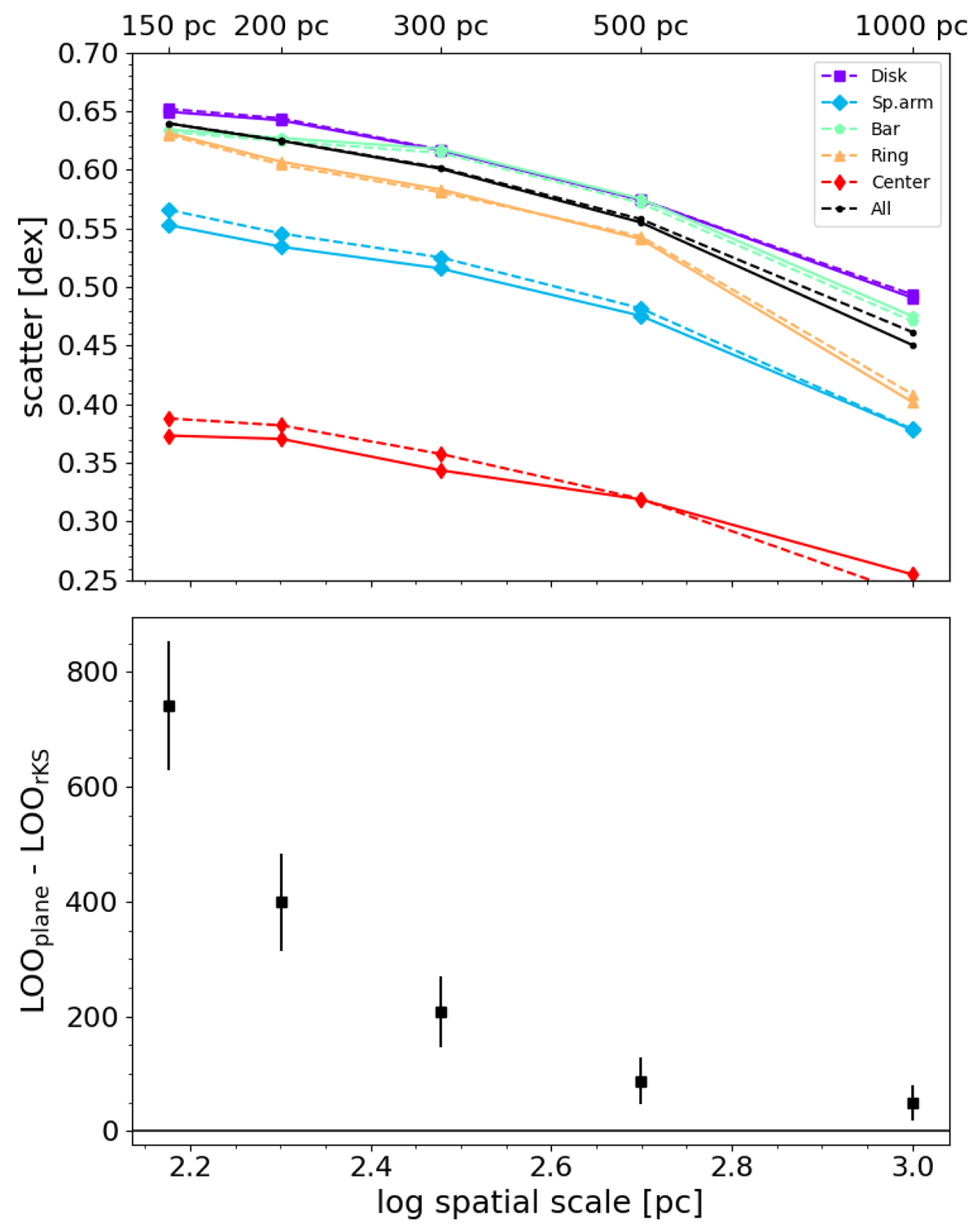
Comparison between plane and single power law models. Top: scatter with respect to the star-forming 2D plane (solid) and rKS (dashed) determined for each galactic environment, at the different spatial scales probed. Bottom: difference of the LOO score measured for the plane and the rKS models, where a > 0 indicates a preference for the plane model. The error bars are the 3σ standard errors. The black horizontal line at 0 marks where there would be no preference between the models. The plane model is preferred over the rKS at all spatial scales, increasingly so at finer spatial scales.
Current usage metrics show cumulative count of Article Views (full-text article views including HTML views, PDF and ePub downloads, according to the available data) and Abstracts Views on Vision4Press platform.
Data correspond to usage on the plateform after 2015. The current usage metrics is available 48-96 hours after online publication and is updated daily on week days.
Initial download of the metrics may take a while.