Open Access
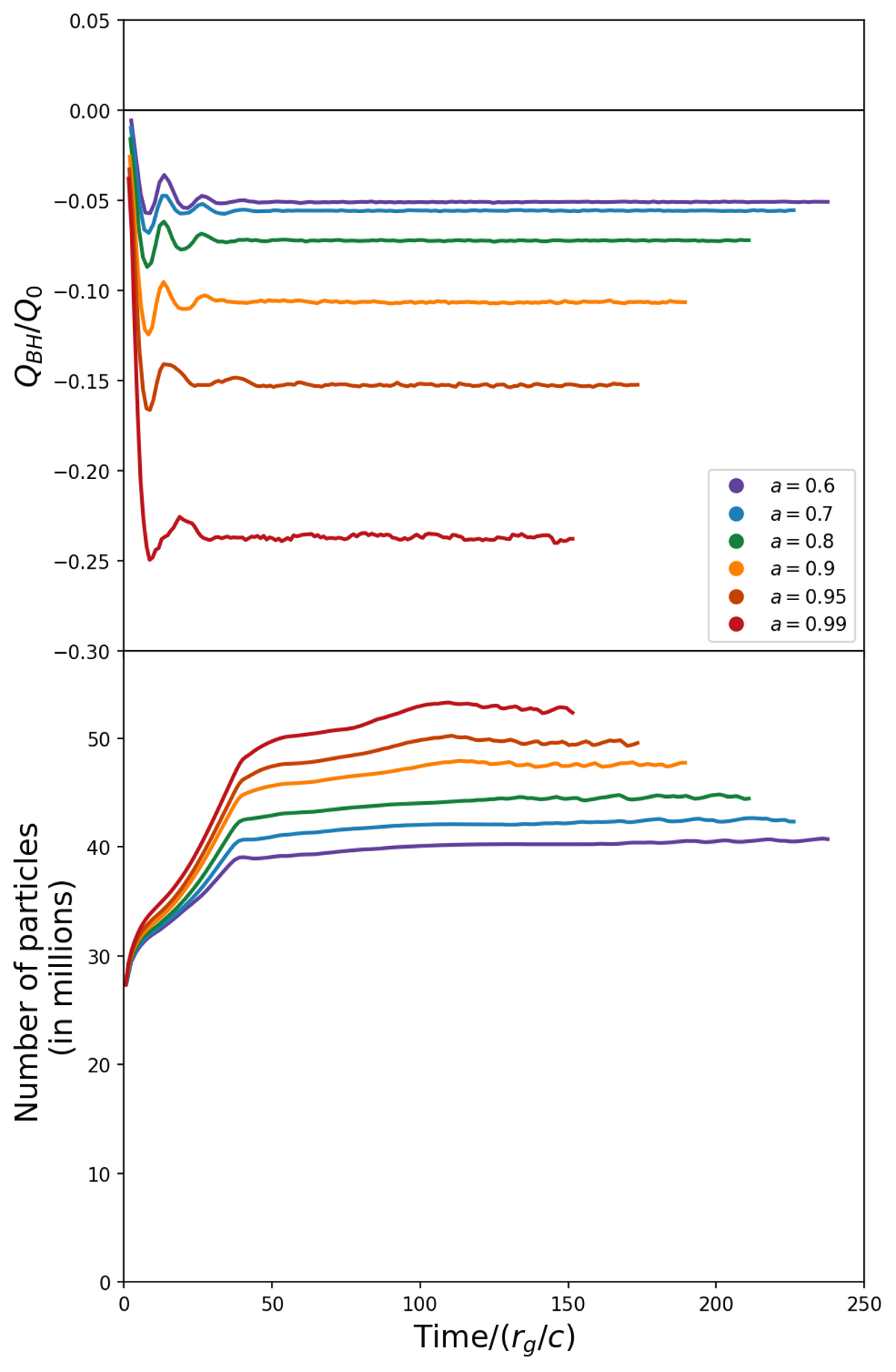
Fig. A.1.

Download original image
Time evolution of monitored quantities. Top panel: Net amount of electric charge, QBH, within the event horizon as a function of time for different spin values and for a thin disk (ϵ = 5%) in prograde rotation. Bottom panel: Total number of particles within the simulation space as a function of time.
Current usage metrics show cumulative count of Article Views (full-text article views including HTML views, PDF and ePub downloads, according to the available data) and Abstracts Views on Vision4Press platform.
Data correspond to usage on the plateform after 2015. The current usage metrics is available 48-96 hours after online publication and is updated daily on week days.
Initial download of the metrics may take a while.