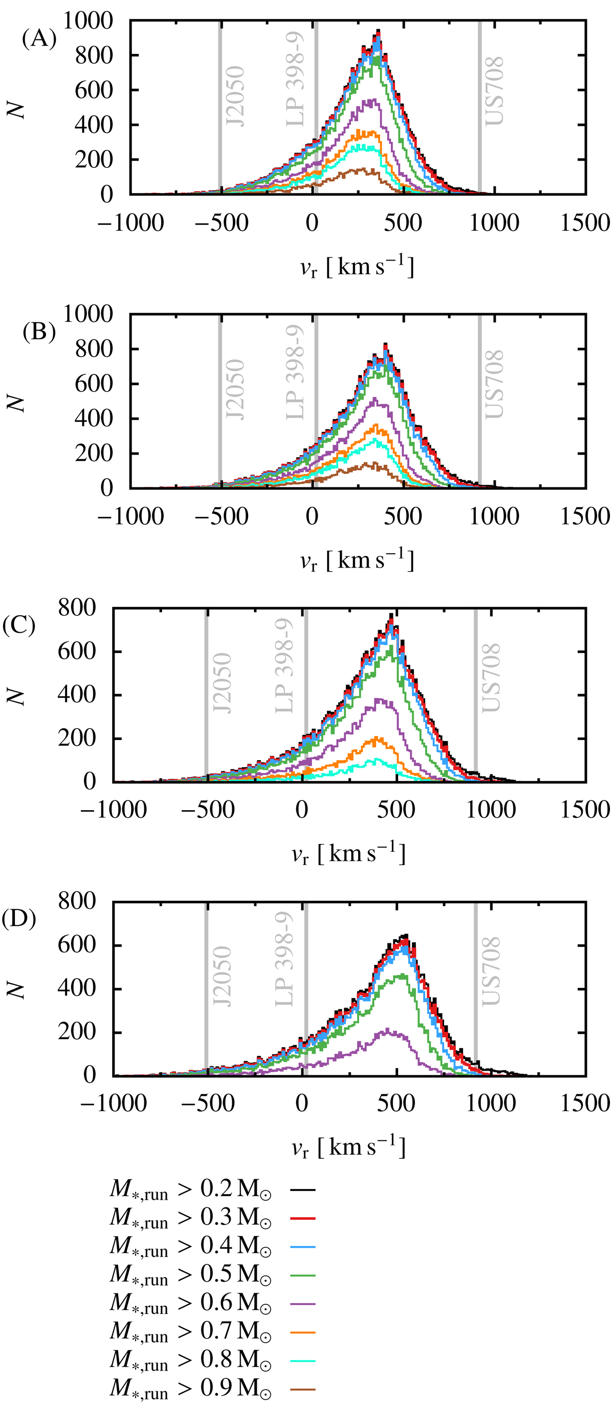
Fig. 18.

Download original image
Spectral distribution of predicted radial velocities of the predicted UI+BI subpopulation for different terminal accretor masses within the fiducial volume. Lines of different colours indicate the sum over all runaways larger than the mass indicated in the key. Terminal accretor masses for each panel are Mf, WD = 1.0 M⊙ for panel A, Mf, WD = 1.2 M⊙ for panel B, Mf, WD = 1.4 M⊙ for panel C and Mf, WD = 1.5 M⊙ for panel D.
Current usage metrics show cumulative count of Article Views (full-text article views including HTML views, PDF and ePub downloads, according to the available data) and Abstracts Views on Vision4Press platform.
Data correspond to usage on the plateform after 2015. The current usage metrics is available 48-96 hours after online publication and is updated daily on week days.
Initial download of the metrics may take a while.