Fig. 22.

Download original image
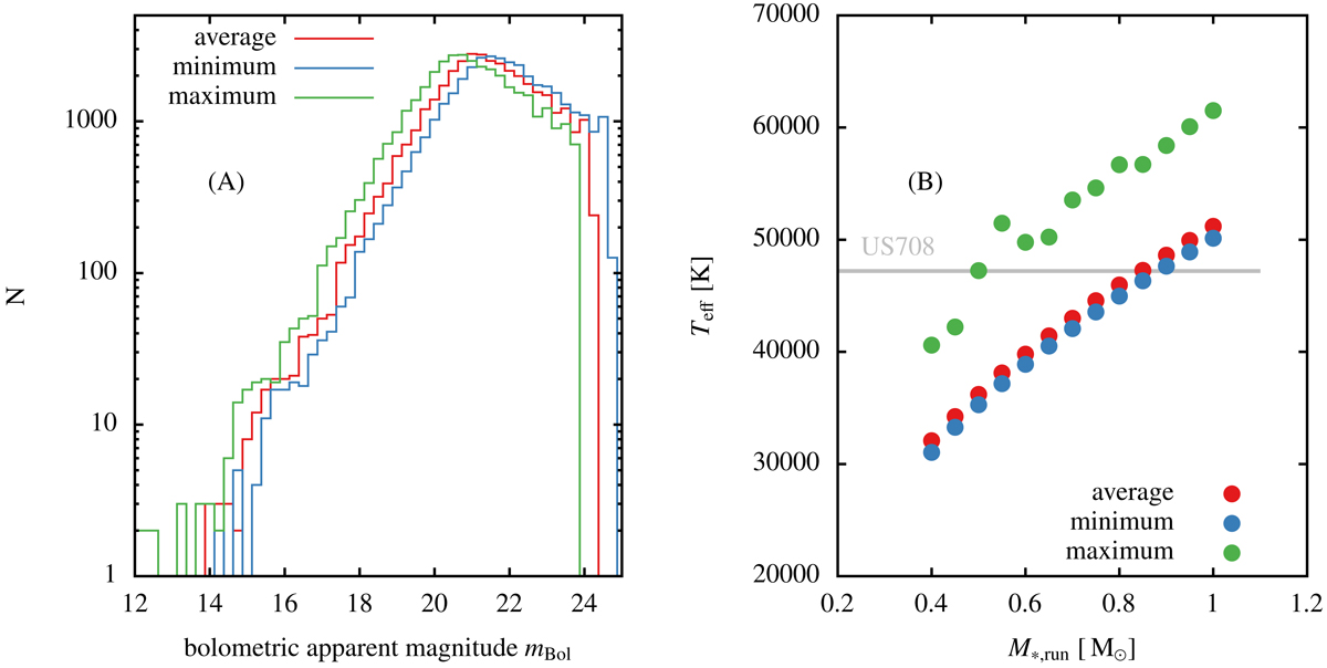
Expected number of objects per bolometric apparent magnitude within the fiducial volume (panel A), according to minimum, maximum and (time) averaged bolometric luminosity, and expected minimum and maximum effective temperature of He-stars in the mass range considered here (panel B). The data in (panel A) is binned along the x-axis into bins of 0.25.
Current usage metrics show cumulative count of Article Views (full-text article views including HTML views, PDF and ePub downloads, according to the available data) and Abstracts Views on Vision4Press platform.
Data correspond to usage on the plateform after 2015. The current usage metrics is available 48-96 hours after online publication and is updated daily on week days.
Initial download of the metrics may take a while.