Fig. A.1.

Download original image
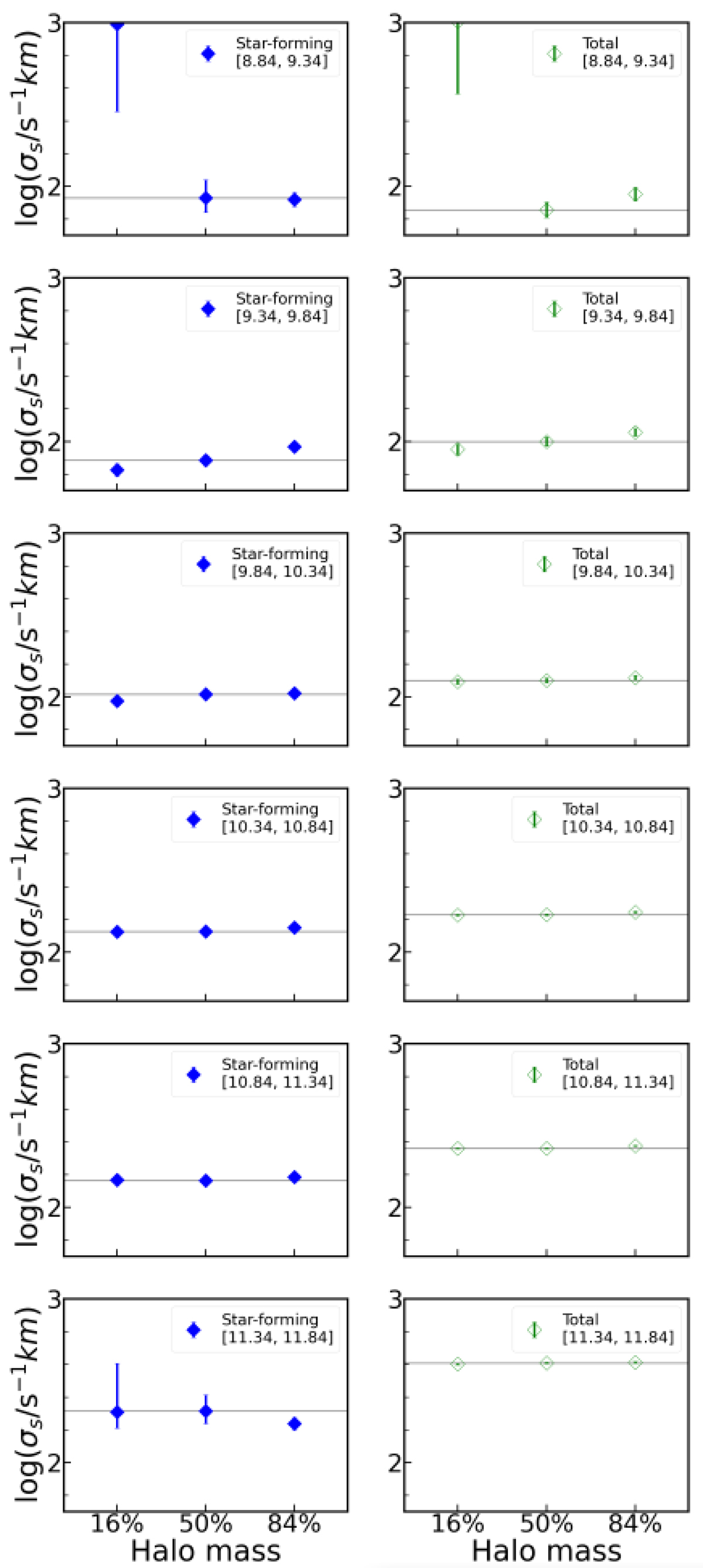
Comparison of the satellite velocity dispersion obtained using three different halo masses in the estimates of rvir and vvir. The left column shows the results for star-forming samples and the right column for the total samples. Different rows represent different stellar mass bins. In each panel, the three data points are for halo masses that correspond to 16, 50, and 84 percentage points of the mass distribution, respectively, as labeled on the horizontal axis.
Current usage metrics show cumulative count of Article Views (full-text article views including HTML views, PDF and ePub downloads, according to the available data) and Abstracts Views on Vision4Press platform.
Data correspond to usage on the plateform after 2015. The current usage metrics is available 48-96 hours after online publication and is updated daily on week days.
Initial download of the metrics may take a while.