Open Access
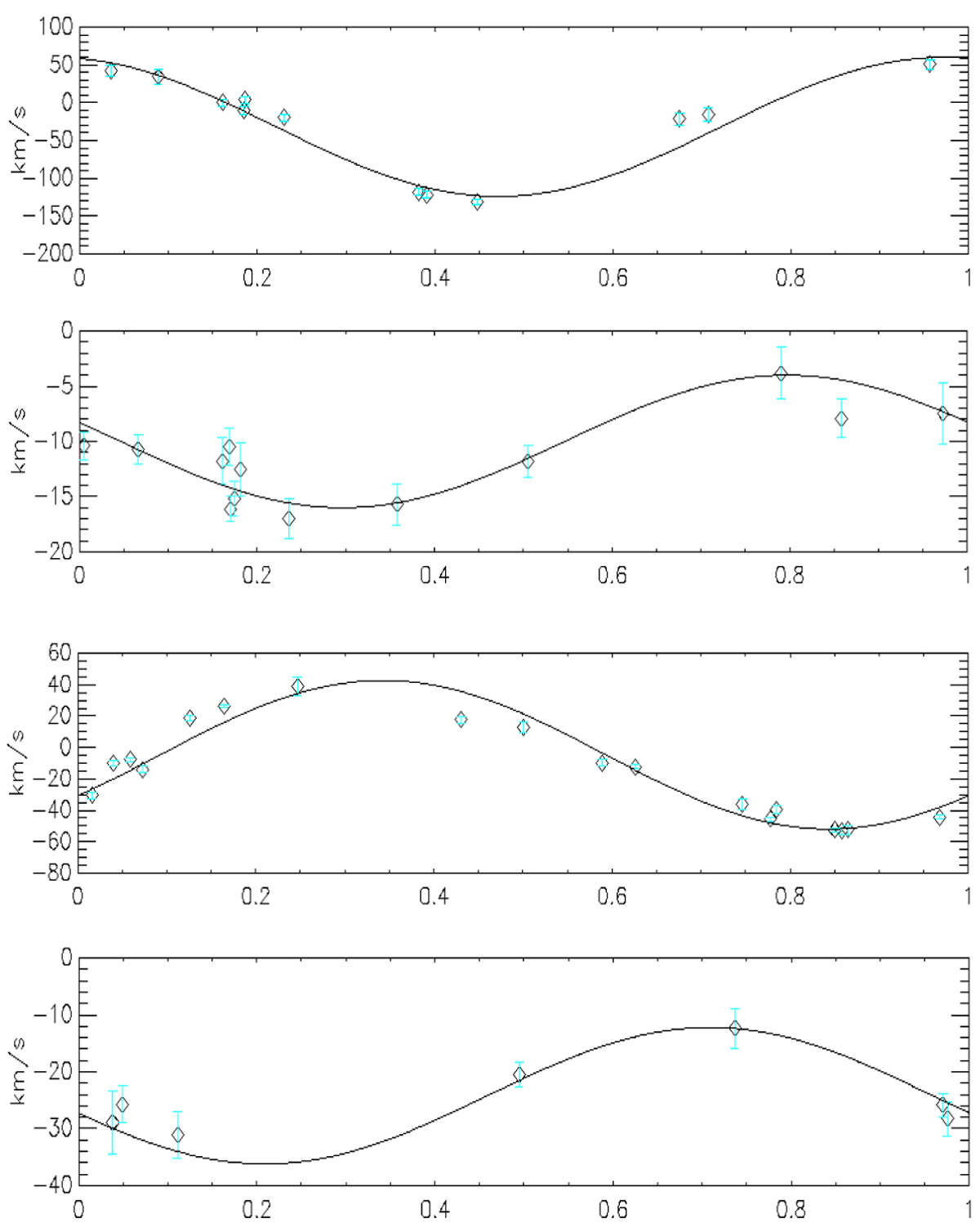
Fig. 4

Download original image
Phase diagrams for (from the top): V747 Cep for a period of 5.33146 days; BD+66° 1675, period of 74 days; the IR star, period of 9.51 days; and P16, period of 13 days.
Current usage metrics show cumulative count of Article Views (full-text article views including HTML views, PDF and ePub downloads, according to the available data) and Abstracts Views on Vision4Press platform.
Data correspond to usage on the plateform after 2015. The current usage metrics is available 48-96 hours after online publication and is updated daily on week days.
Initial download of the metrics may take a while.