Fig. 10

Download original image
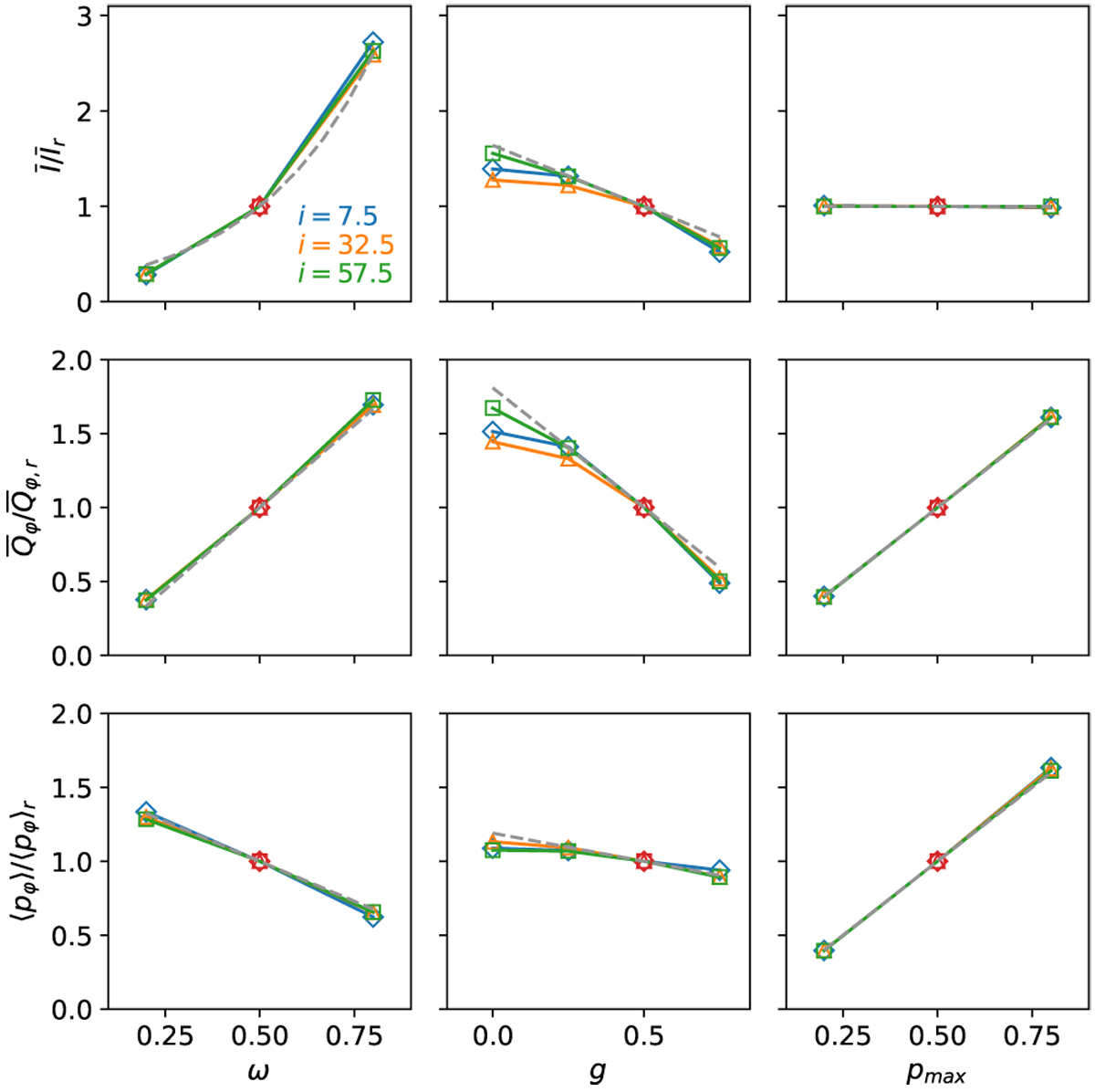
Relative change in disk integrated intensity , azimuthal polarization
, and fractional polarization 〈pφ〉/〈pφ〉r with respect to the reference model as a function of the dust scattering parameters ω, ɡ, and pmax. The dashed gray line is the fit from Table 2. In most panels the fitted lines coincide with the calculated results.
Current usage metrics show cumulative count of Article Views (full-text article views including HTML views, PDF and ePub downloads, according to the available data) and Abstracts Views on Vision4Press platform.
Data correspond to usage on the plateform after 2015. The current usage metrics is available 48-96 hours after online publication and is updated daily on week days.
Initial download of the metrics may take a while.