Free Access
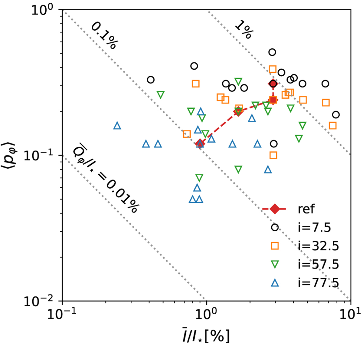
Fig. 9

Download original image
Distribution of the scattered intensity and the fractional polarization 〈pφ〉 (Y-axis) for all disk models given in Table 1. The dotted lines indicate the constant values for the azimuthal polarization . The colors indicate the inclination i of the disks and the red line marks the results for the reference model.
Current usage metrics show cumulative count of Article Views (full-text article views including HTML views, PDF and ePub downloads, according to the available data) and Abstracts Views on Vision4Press platform.
Data correspond to usage on the plateform after 2015. The current usage metrics is available 48-96 hours after online publication and is updated daily on week days.
Initial download of the metrics may take a while.