Fig. 13

Download original image
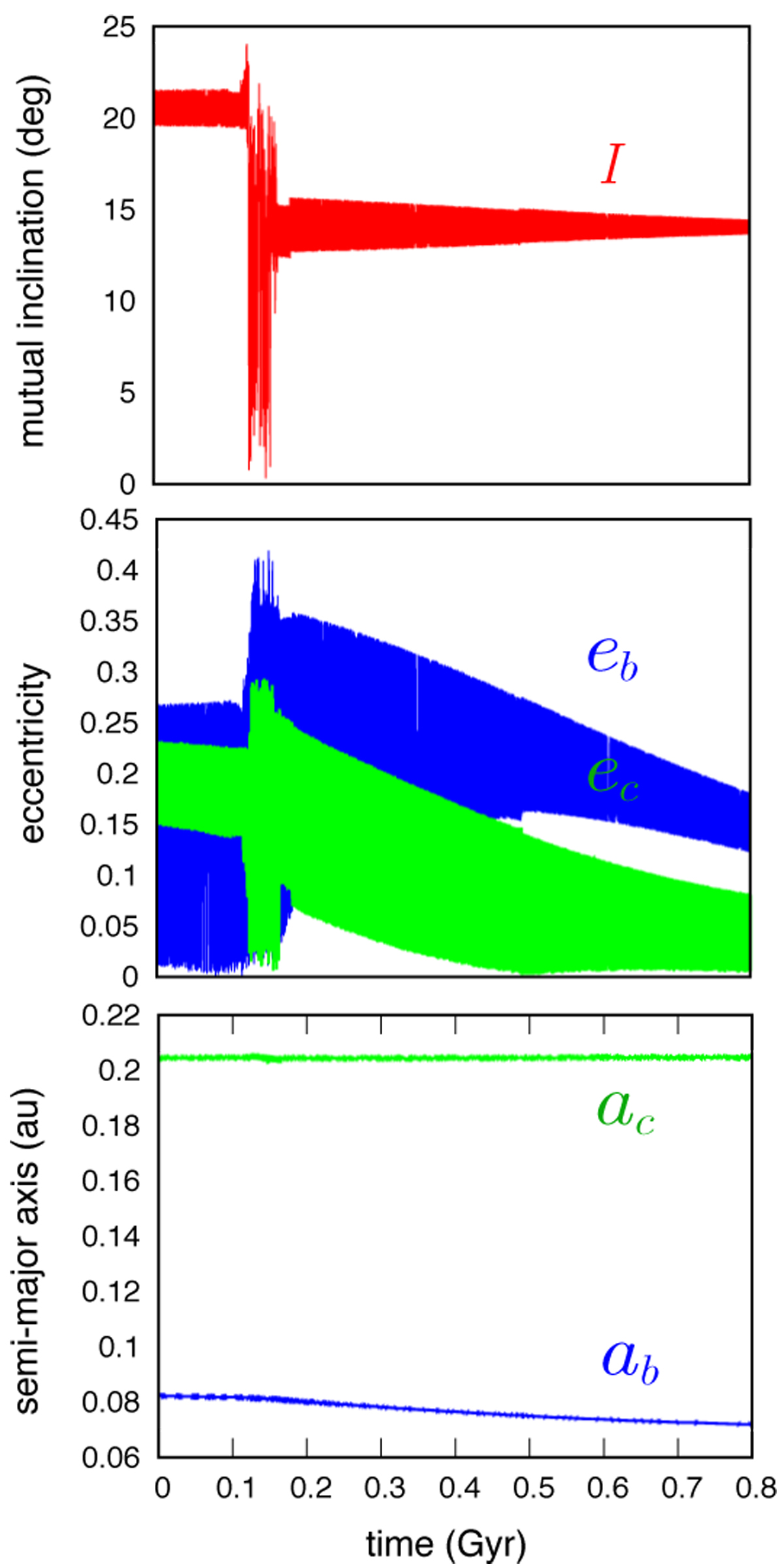
Tidal evolution of the WASP-148 system. Starting with the nominal solution from Table 4, we show the evolution of the mutual inclination (top), the eccentricities (middle), and semi-major axes (bottom) over 800 Myr. We used a direct three-body model with linear tides (Correia 2018) with general relativity corrections, and adopted k2 = 0.5 and Δt = 1 s for both planets.
Current usage metrics show cumulative count of Article Views (full-text article views including HTML views, PDF and ePub downloads, according to the available data) and Abstracts Views on Vision4Press platform.
Data correspond to usage on the plateform after 2015. The current usage metrics is available 48-96 hours after online publication and is updated daily on week days.
Initial download of the metrics may take a while.