Highlight
Open Access

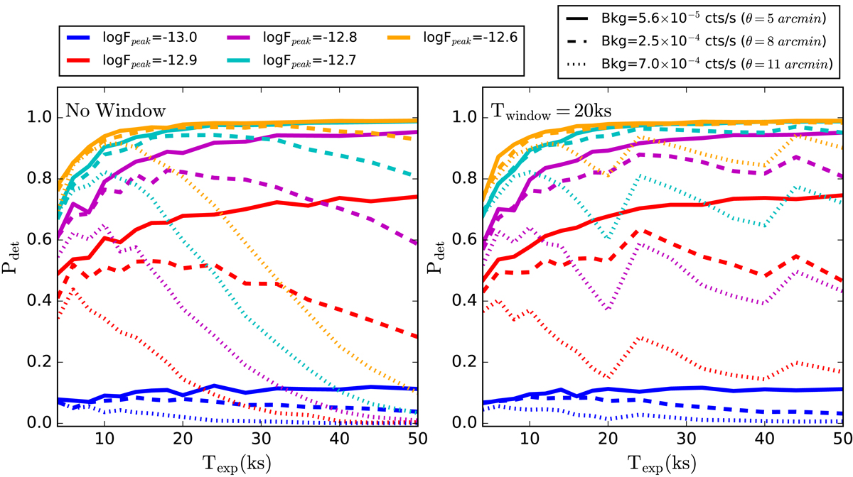
Fig. 1.

image

Download original image

Detection probability (Pdet) as a function of the Chandra exposure time (Texp) for typical instrumental off-axis angles of 50 (solid lines), 80 (dashed lines), and 110 (dotted lines). Different colors indicate different peak fluxes, log[Fpeak (cgs)], as labeled (cgs units). Left and right panels: the probability assuming null and 20 ks windows, respectively (see Sect. 2.1 for details).

Current usage metrics show cumulative count of Article Views (full-text article views including HTML views, PDF and ePub downloads, according to the available data) and Abstracts Views on Vision4Press platform.

Data correspond to usage on the plateform after 2015. The current usage metrics is available 48-96 hours after online publication and is updated daily on week days.

Initial download of the metrics may take a while.