Highlight
Open Access

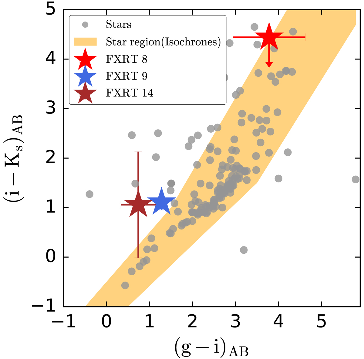
Fig. 14.

image

Download original image

Color-color diagram of FXRTs 8, 9, and 14 and X-ray sources classified as stars according to Criterion 2 (see Sect. 2.5.2) with Pan-STARRS, DECam, and 2MASS counterparts (gray filled circles). The expected parameter space of stars with different ages (log(Age)  =  7.0–10.3), metallicities (from [Fe/H]  =   − 3.0–0.5), and attenuations (AV  =  0.0–5.0) taken from the MIST package (Dotter 2016; Choi et al. 2016) is overplotted as an orange region.

Current usage metrics show cumulative count of Article Views (full-text article views including HTML views, PDF and ePub downloads, according to the available data) and Abstracts Views on Vision4Press platform.

Data correspond to usage on the plateform after 2015. The current usage metrics is available 48-96 hours after online publication and is updated daily on week days.

Initial download of the metrics may take a while.