Free Access
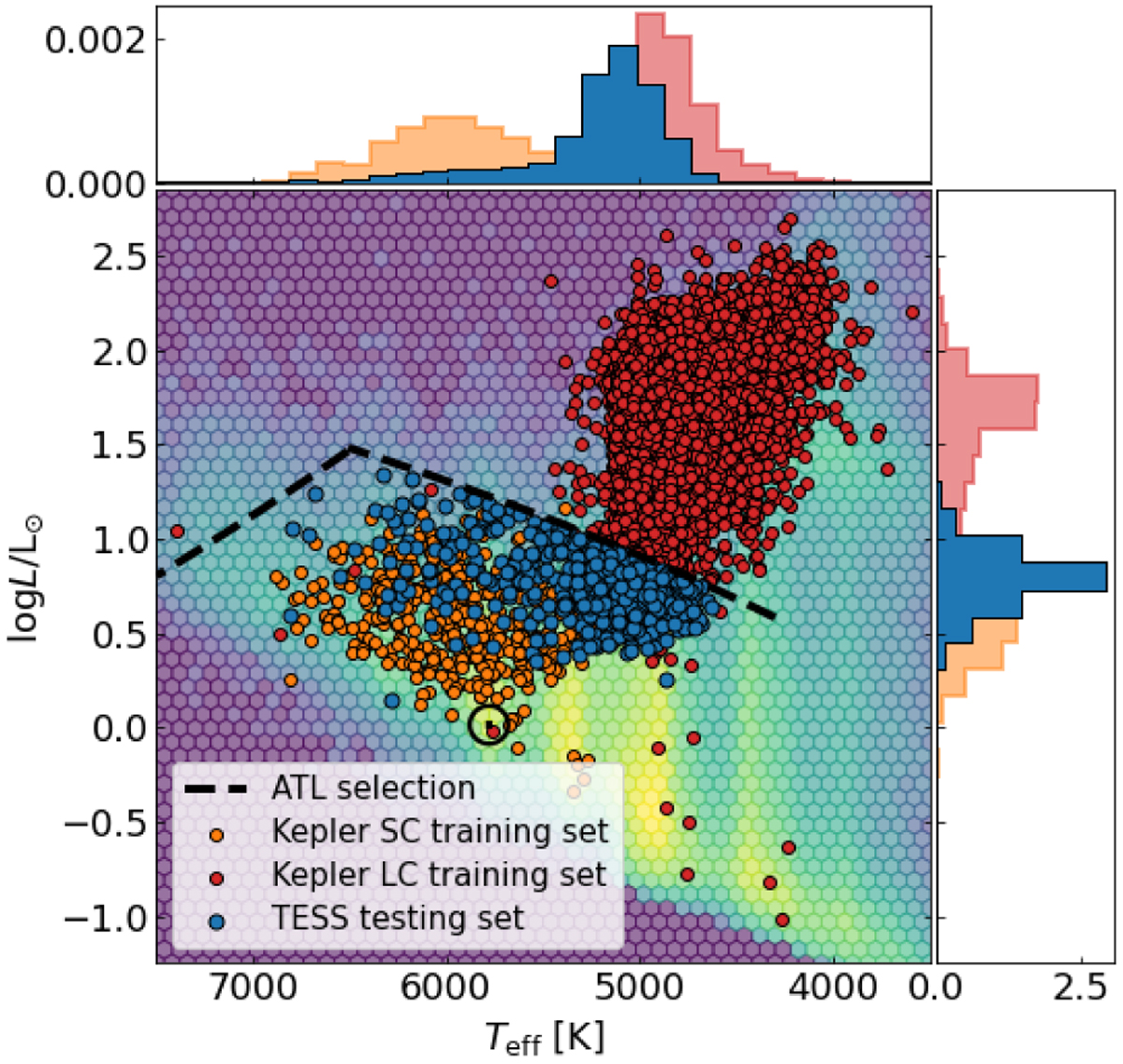
Fig. 1

Download original image
Luminosity and effective temperatures of the TESS testing sets (blue), the Kepler short cadence set (orange), and the Kepler RG long-cadence set in red. The top and right histograms show the collapsed distributions along each axis. The background hexgrid histogram shows a selection of Gaia stars for reference.
Current usage metrics show cumulative count of Article Views (full-text article views including HTML views, PDF and ePub downloads, according to the available data) and Abstracts Views on Vision4Press platform.
Data correspond to usage on the plateform after 2015. The current usage metrics is available 48-96 hours after online publication and is updated daily on week days.
Initial download of the metrics may take a while.