Fig. 4

Download original image
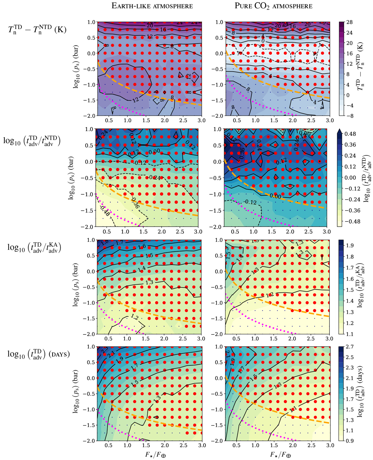
Stability diagrams of Earth-sized tidally locked planets hosting Earth-like (left panels) and pure CO2 (right panels) atmospheres, with turbulent diffusion (TD, four bottom panels) and without turbulent diffusion (NTD, four top panels), superimposed on the maps of various quantities. From bottom to top: day-night advection timescale with turbulent diffusion, day-night advection timescale with turbulent diffusion over the lower bound estimated analytically by Koll & Abbot (2016) using the heat engine theory, ratio of day-night advection timescales with and without turbulent diffusion, and nightside surface temperature difference between the cases with and without turbulent diffusion. The curves and symbols are the same as in Fig. 3.
Current usage metrics show cumulative count of Article Views (full-text article views including HTML views, PDF and ePub downloads, according to the available data) and Abstracts Views on Vision4Press platform.
Data correspond to usage on the plateform after 2015. The current usage metrics is available 48-96 hours after online publication and is updated daily on week days.
Initial download of the metrics may take a while.