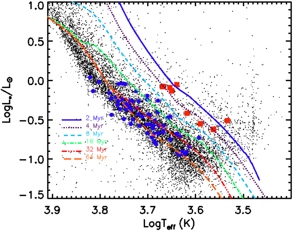
Fig. 4.

Download original image
HR diagram with the location of the low-mass young (red squares) and old (blue dots) PMS candidates. The theoretical isochrones (Bressan et al. 2012) are calculated for ages of 2, 4, 8, 16, 32, and 64 Myr (lines from right to left, respectively) and Z = 0.007. The small black dots are the targets of the sample of our catalog.
Current usage metrics show cumulative count of Article Views (full-text article views including HTML views, PDF and ePub downloads, according to the available data) and Abstracts Views on Vision4Press platform.
Data correspond to usage on the plateform after 2015. The current usage metrics is available 48-96 hours after online publication and is updated daily on week days.
Initial download of the metrics may take a while.