Free Access
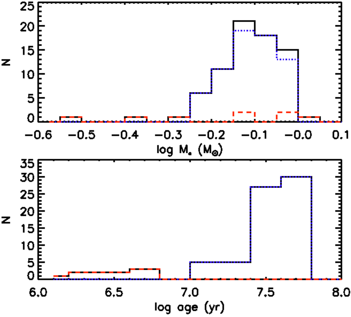
Fig. 6.

Download original image
Histograms of the stellar mass (upper panel, bin of 0.05) and age (lower panel, bin of 0.2) for the 75 low-mass PMS candidates in logarithmic scale. The red dashed and blue dotted lines represent the distribution of the young and older populations, respectively.
Current usage metrics show cumulative count of Article Views (full-text article views including HTML views, PDF and ePub downloads, according to the available data) and Abstracts Views on Vision4Press platform.
Data correspond to usage on the plateform after 2015. The current usage metrics is available 48-96 hours after online publication and is updated daily on week days.
Initial download of the metrics may take a while.