Fig. 7.

Download original image
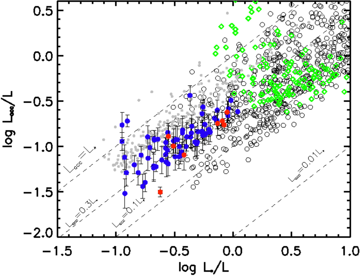
Accretion luminosity as a function of stellar luminosity. Blue and red dots represent the older (age greater than 8 Myr) and younger (age smaller than 8 Myr) PMS candidates of LH 91, respectively. The gray filled dots, green diamonds, and black empty dots are the PMS of LH 95 by Biazzo et al. (2019), SN 1987A by De Marchi et al. (2010), and 30 Dor by De Marchi et al. (2017), respectively. The dashed lines show the linear Lacc − L⋆ relationship for different values of the coefficient, as indicated.
Current usage metrics show cumulative count of Article Views (full-text article views including HTML views, PDF and ePub downloads, according to the available data) and Abstracts Views on Vision4Press platform.
Data correspond to usage on the plateform after 2015. The current usage metrics is available 48-96 hours after online publication and is updated daily on week days.
Initial download of the metrics may take a while.