Open Access

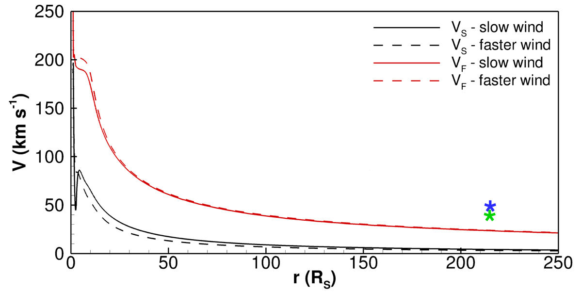
Fig. 15.

image

Download original image

MHD wave velocities corresponding to slow (red lines) and fast (black lines) magnetoacoustic waves for the slow (solid lines) and faster (dashed lines) background solar winds. The velocity of the front of the CME at 1 AU with respect to the solar wind is indicated by the blue asterisk in the case of the slow background wind and by the green asterisk for the faster wind.

Current usage metrics show cumulative count of Article Views (full-text article views including HTML views, PDF and ePub downloads, according to the available data) and Abstracts Views on Vision4Press platform.

Data correspond to usage on the plateform after 2015. The current usage metrics is available 48-96 hours after online publication and is updated daily on week days.

Initial download of the metrics may take a while.