Fig. 2

Download original image
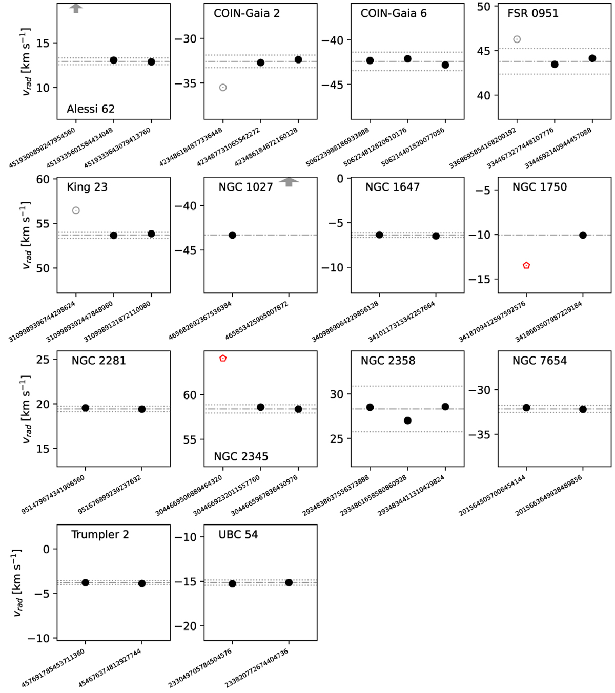
Determination of the average radial velocity for each cluster with two or more stars sampled. Filled symbols mark stars considered real cluster members, while open symbols are the excluded objects. Red pentagons are the reported spectroscopic binaries. Arrows denote the objects outside the panels. Dot-dashed lines correspond to the average radial velocity for each cluster. Dotted lines show the level. We note that the error bars are smaller than the symbol size.
Current usage metrics show cumulative count of Article Views (full-text article views including HTML views, PDF and ePub downloads, according to the available data) and Abstracts Views on Vision4Press platform.
Data correspond to usage on the plateform after 2015. The current usage metrics is available 48-96 hours after online publication and is updated daily on week days.
Initial download of the metrics may take a while.