Free Access
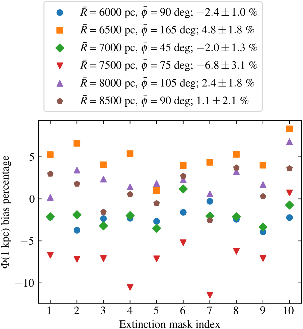
Fig. 8.

Download original image
Biases to the inferred quantity Φ(1 kpc) that arise when we apply strong selection effects to the data. The bias correspond to the change in Φ(1 kpc) with respect to the results with full data completeness. The legend shows the data samples’ spatial coordinates as well as the bias mean plus or minus standard deviation.
Current usage metrics show cumulative count of Article Views (full-text article views including HTML views, PDF and ePub downloads, according to the available data) and Abstracts Views on Vision4Press platform.
Data correspond to usage on the plateform after 2015. The current usage metrics is available 48-96 hours after online publication and is updated daily on week days.
Initial download of the metrics may take a while.