Open Access

Fig. 14.

image

Download original image

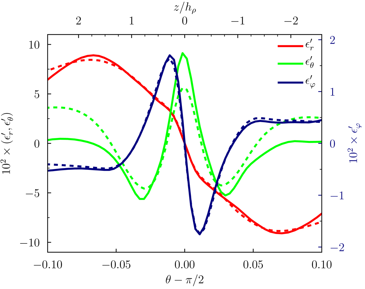
Meridional profiles of the reduced EMF as defined by Eq. (5). The solid lines are simulation data averaged from 200tin to 400tin in run M3T10R10. The dashed lines are the best fits from Eq. (11) over this interval. The toroidal components are measured on the right axis.

Current usage metrics show cumulative count of Article Views (full-text article views including HTML views, PDF and ePub downloads, according to the available data) and Abstracts Views on Vision4Press platform.

Data correspond to usage on the plateform after 2015. The current usage metrics is available 48-96 hours after online publication and is updated daily on week days.

Initial download of the metrics may take a while.