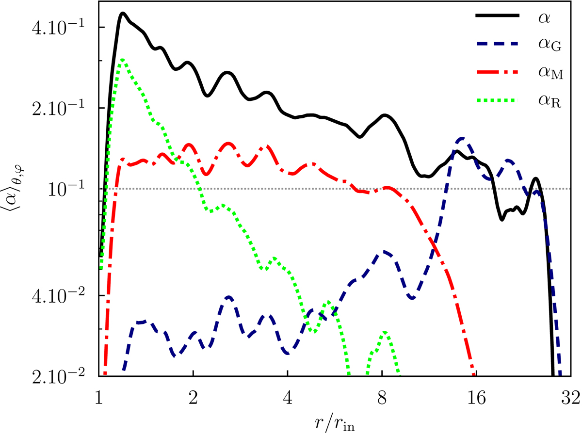
Fig. 17.

Download original image
Radial flux of angular momentum as a function of radius after averaging in (θ,φ) and over time from 1136tin to 1200tin in run M3T10R10: total stress (solid black), gravitational stress αG (dashed blue), magnetic stress αM (dot-dashed red), and hydrodynamic stress αR (dotted green). The thin horizontal line at α = 10−1 corresponds to local thermal balance of viscous heating versus cooling.
Current usage metrics show cumulative count of Article Views (full-text article views including HTML views, PDF and ePub downloads, according to the available data) and Abstracts Views on Vision4Press platform.
Data correspond to usage on the plateform after 2015. The current usage metrics is available 48-96 hours after online publication and is updated daily on week days.
Initial download of the metrics may take a while.