Open Access
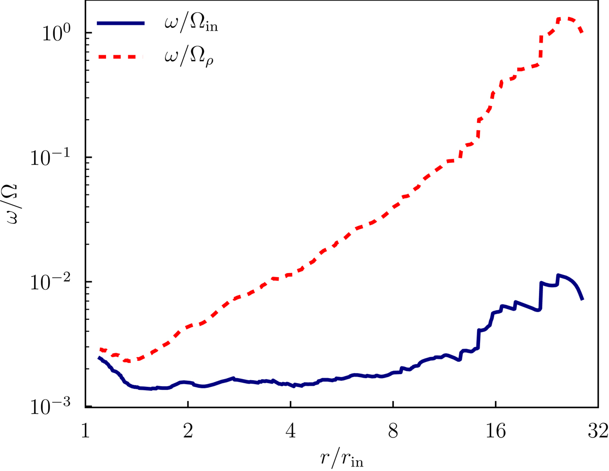
Fig. 3.

Download original image
Growth rate of the magnetic field amplitude as a function of radius in run M3T10R10, normalized either by the (fixed) inner Keplerian frequency Ωin (solid blue) or by the (radially varying) density-weighted orbital frequency Ωρ (dashed red). Only the inner parts r/rin ≲ 12 have reached a steady exponential growth phase.
Current usage metrics show cumulative count of Article Views (full-text article views including HTML views, PDF and ePub downloads, according to the available data) and Abstracts Views on Vision4Press platform.
Data correspond to usage on the plateform after 2015. The current usage metrics is available 48-96 hours after online publication and is updated daily on week days.
Initial download of the metrics may take a while.