Free Access
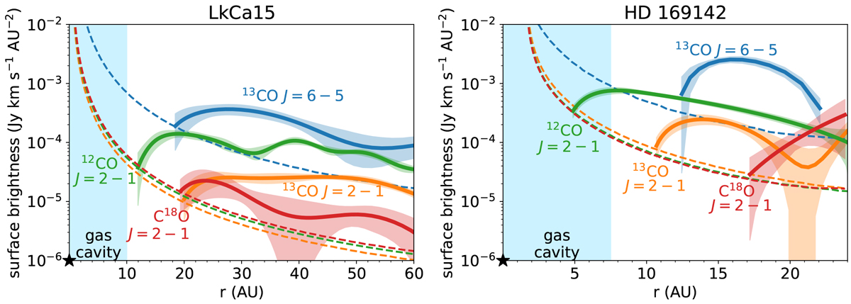
Fig. 6

Download original image
Surface brightness of the 13CO J = 6−5 (blue), 13CO J = 2−1 (orange), 12CO J = 2−1 (green), and C18O J = 2−1 (red) lines inside the dust cavities derived using the kinematics. The dashed lines in corresponding colors indicate the detection limit for each line.
Current usage metrics show cumulative count of Article Views (full-text article views including HTML views, PDF and ePub downloads, according to the available data) and Abstracts Views on Vision4Press platform.
Data correspond to usage on the plateform after 2015. The current usage metrics is available 48-96 hours after online publication and is updated daily on week days.
Initial download of the metrics may take a while.