Fig. 6.

Download original image
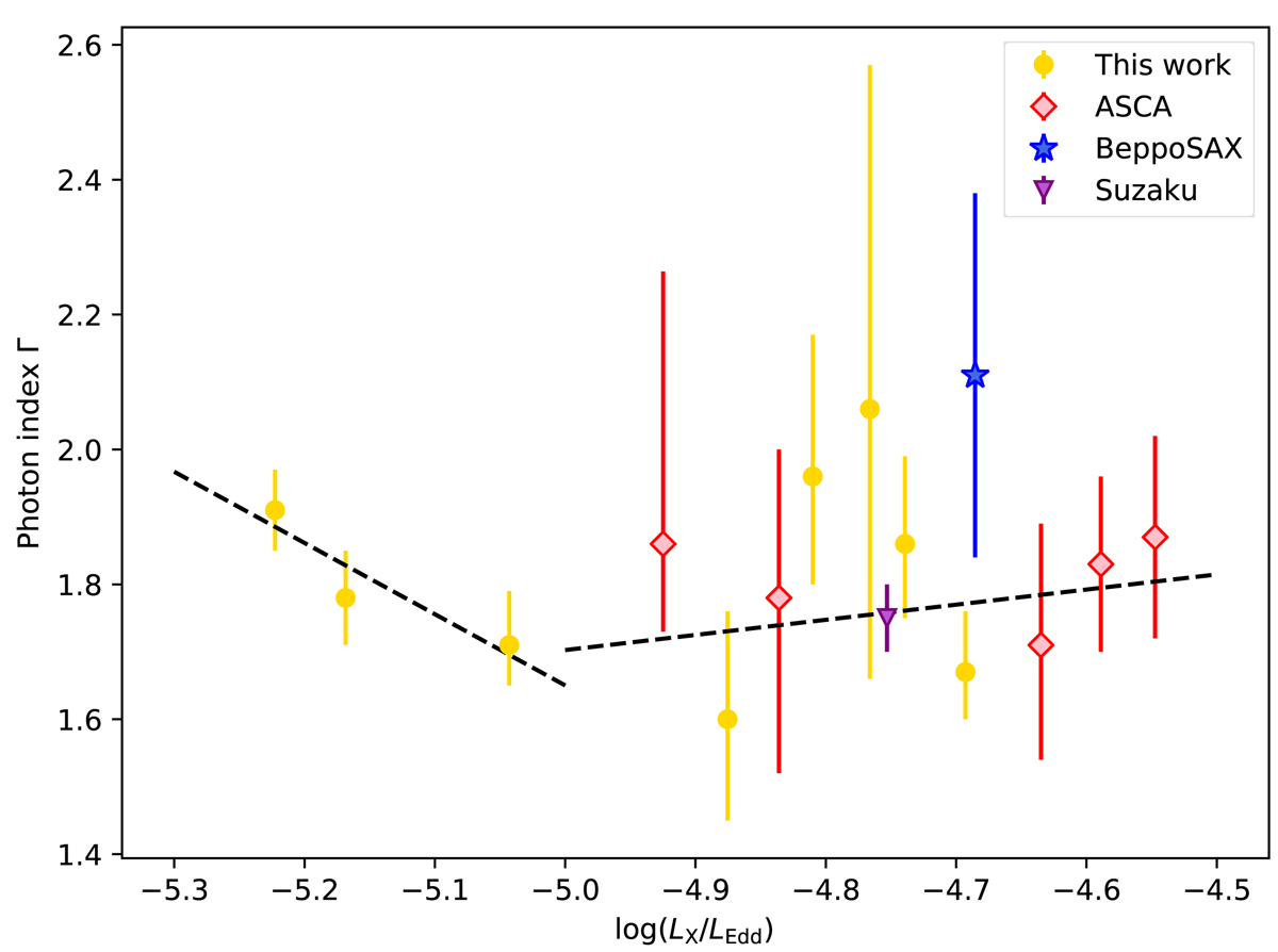
Photon index Γ as a function of the X-ray Eddington ratio λX (λX = LX/LEdd). Yellow points, red diamonds, blue star, and purple triangle refer to the data analyzed in this work with the BORUS model and to archival ASCA, BeppoSAX, and Suzaku data, respectively. Black dashed lines are simple linear fits below and above the separation value of log λX = −5 (broadly corresponding to a canonical Eddington ratio of ≈10−4 for a bolometric correction on the order of 10), indicating two possible regimes.
Current usage metrics show cumulative count of Article Views (full-text article views including HTML views, PDF and ePub downloads, according to the available data) and Abstracts Views on Vision4Press platform.
Data correspond to usage on the plateform after 2015. The current usage metrics is available 48-96 hours after online publication and is updated daily on week days.
Initial download of the metrics may take a while.