Fig. 1.

Download original image
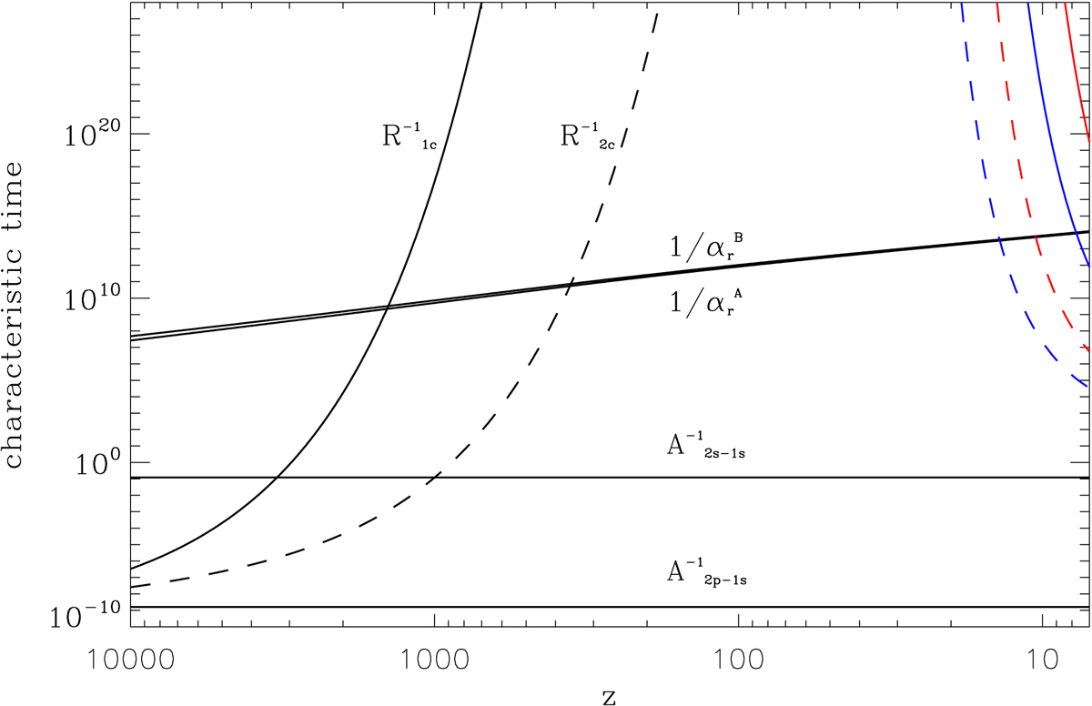
Characteristic lifetime of the hydrogen atom in the excited states 2s and 2p (,
), time intervals between following recombinations to the base and excited levels (
,
), and the resulting photoionization (
,
) by CMBR (at z > 200) as well as the first light photons (z < 30). The computations are made for the cosmological model with Planck 2018 parameters and thermal models of the first light.
Current usage metrics show cumulative count of Article Views (full-text article views including HTML views, PDF and ePub downloads, according to the available data) and Abstracts Views on Vision4Press platform.
Data correspond to usage on the plateform after 2015. The current usage metrics is available 48-96 hours after online publication and is updated daily on week days.
Initial download of the metrics may take a while.