Fig. 3.

Download original image
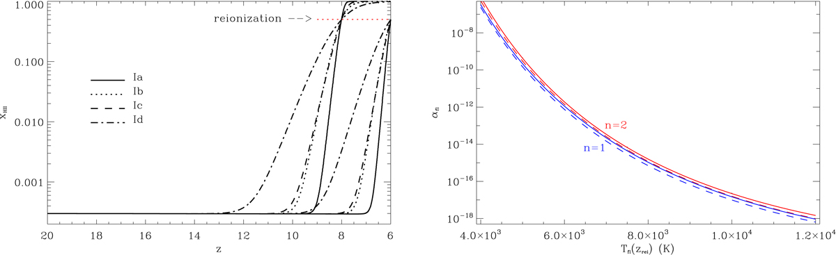
Reionization of hydrogen by the first light at the end of the Cosmic Dawn epoch. Left: evolution of the ionized hydrogen fraction xHII for the first light models Ia-Id, which provide xHII ≈ 0.5 at 6 ≤ z ≤ 8. Right: ranges of dilution coefficient against the temperature of thermal radiation for two evolution models of the first light.
Current usage metrics show cumulative count of Article Views (full-text article views including HTML views, PDF and ePub downloads, according to the available data) and Abstracts Views on Vision4Press platform.
Data correspond to usage on the plateform after 2015. The current usage metrics is available 48-96 hours after online publication and is updated daily on week days.
Initial download of the metrics may take a while.