Open Access
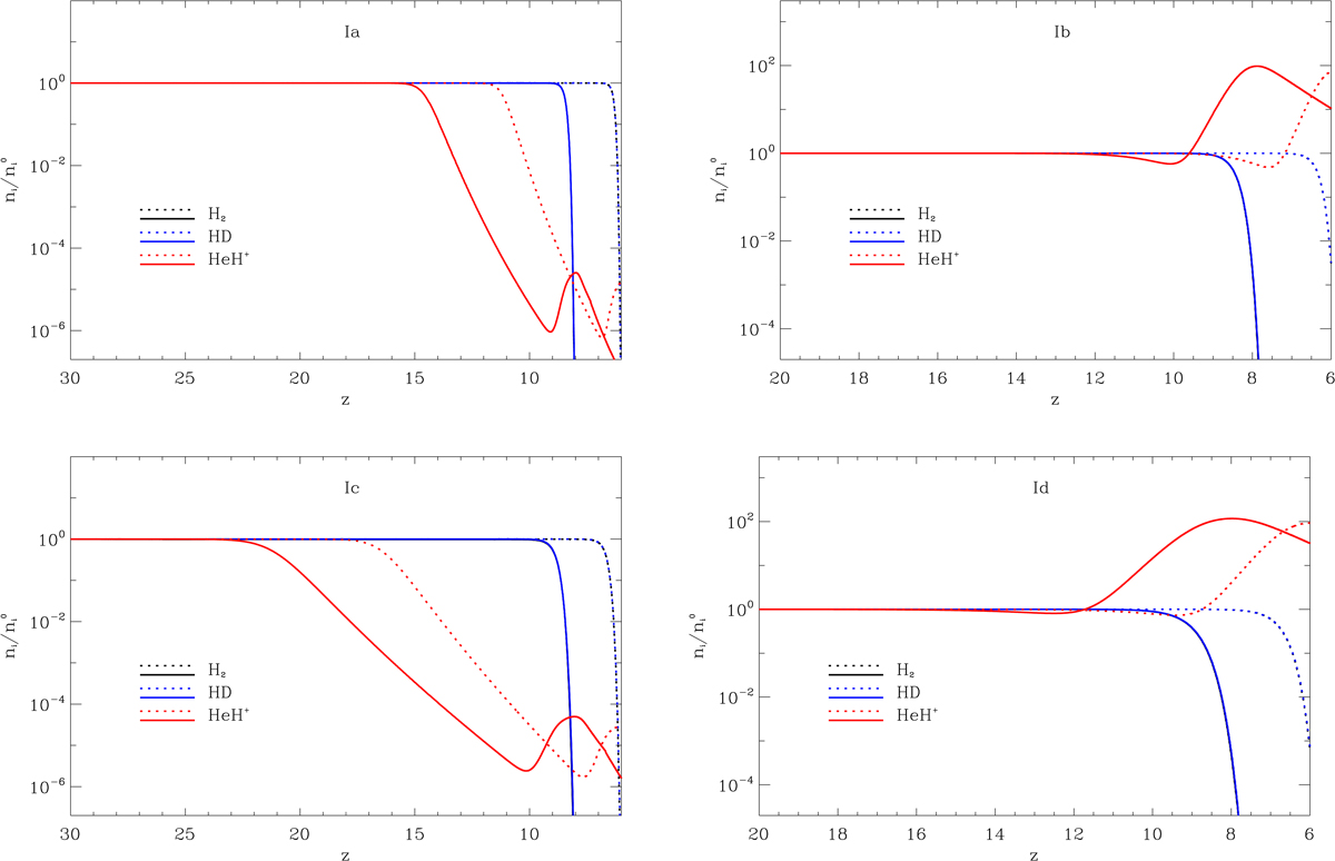
Fig. 7.

Download original image
Impact of the first light on the number densities of molecules at Cosmic Dawn for the different evolution of the energy density of thermal radiation of the first sources (models Ia-Id) (lines for H2 and HD superimposed).
Current usage metrics show cumulative count of Article Views (full-text article views including HTML views, PDF and ePub downloads, according to the available data) and Abstracts Views on Vision4Press platform.
Data correspond to usage on the plateform after 2015. The current usage metrics is available 48-96 hours after online publication and is updated daily on week days.
Initial download of the metrics may take a while.