Open Access
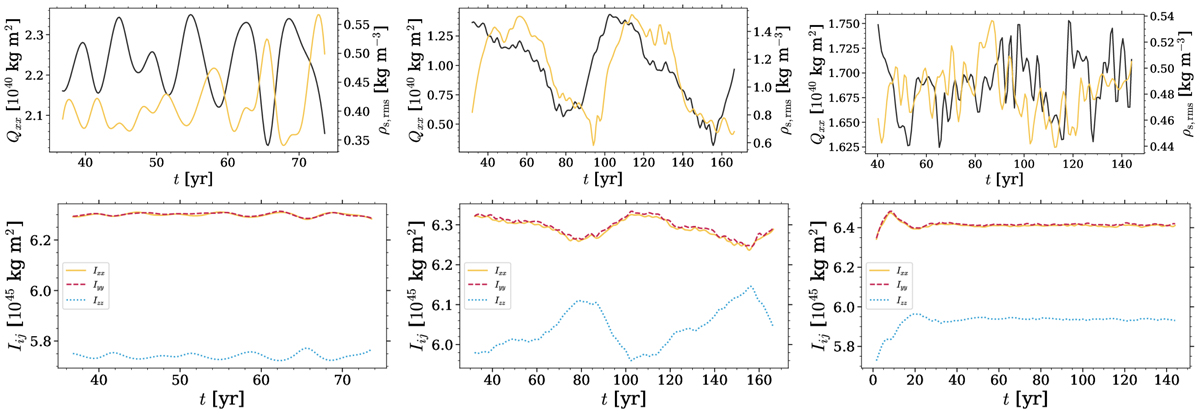
Fig. 4.

Download original image
Top row: Qxx (black) and rms value of the equatorically asymmetric part of density ρs, rms (yellow) according to Eq. (17) as functions of time. Bottom row: time evolution of the diagonal components of the inertia tensor. First, second, and third columns correspond respectively to runs A, B, and C.
Current usage metrics show cumulative count of Article Views (full-text article views including HTML views, PDF and ePub downloads, according to the available data) and Abstracts Views on Vision4Press platform.
Data correspond to usage on the plateform after 2015. The current usage metrics is available 48-96 hours after online publication and is updated daily on week days.
Initial download of the metrics may take a while.