Free Access

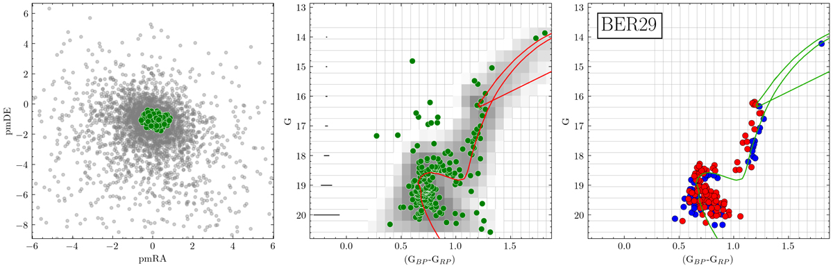
Fig. 3.

image

Download original image

Estimation of the membership probabilities and the fundamental parameters for the cluster Berkeley 29. Left: VPD for stars in the analyzed Berkeley 29 frame. The green and gray circles show the selected true members and the field stars, respectively. Center: CMD for the cluster members with the isochrone associated with the best synthetic cluster fit drawn in red to guide the eye. Right: Best synthetic cluster fit found by ASteCA with the same isochrone, now show in green. The blue and red circles are single and binary systems, respectively.

Current usage metrics show cumulative count of Article Views (full-text article views including HTML views, PDF and ePub downloads, according to the available data) and Abstracts Views on Vision4Press platform.

Data correspond to usage on the plateform after 2015. The current usage metrics is available 48-96 hours after online publication and is updated daily on week days.

Initial download of the metrics may take a while.