Fig. 2.

Download original image
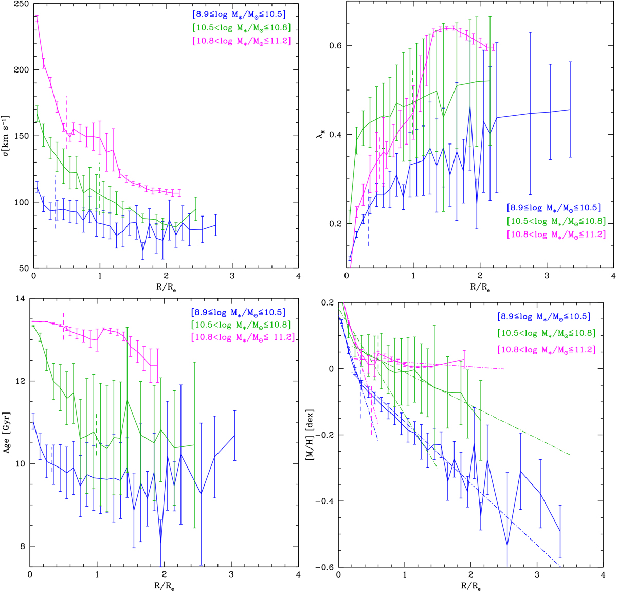
Running mean as a function of radius of the azimuthally averaged profiles of the stellar velocity dispersion (upper left panel), inclination-corrected specific angular momentum (upper right panel), age (lower left panel), and metallicity (lower right panel) for the sample galaxies in three different mass bins: 8.9 ≤ log(M*/M⊙) ≤ 10.5 (blue symbols), 10.5 < log(M*/M⊙) ≤ 10.8 (green symbols), and 10.8 < log(M*/M⊙) ≤ 11.2 (magenta symbols). The dashed vertical lines mark the position of the average transition radius Rtr, 1 for each mass bin. The dash-dotted lines represent the fits to the metallicity gradients in the two regions defined by transition radii Rtr, 1 and Rtr, 2. The error bars trace the dispersion of the points around the mean trend. The radial profiles of the stellar kinematics and population properties of the three edge-on galaxies, FCC 153, FCC 170, and FCC 177, have been excluded from the mean.
Current usage metrics show cumulative count of Article Views (full-text article views including HTML views, PDF and ePub downloads, according to the available data) and Abstracts Views on Vision4Press platform.
Data correspond to usage on the plateform after 2015. The current usage metrics is available 48-96 hours after online publication and is updated daily on week days.
Initial download of the metrics may take a while.