Fig. 4.

Download original image
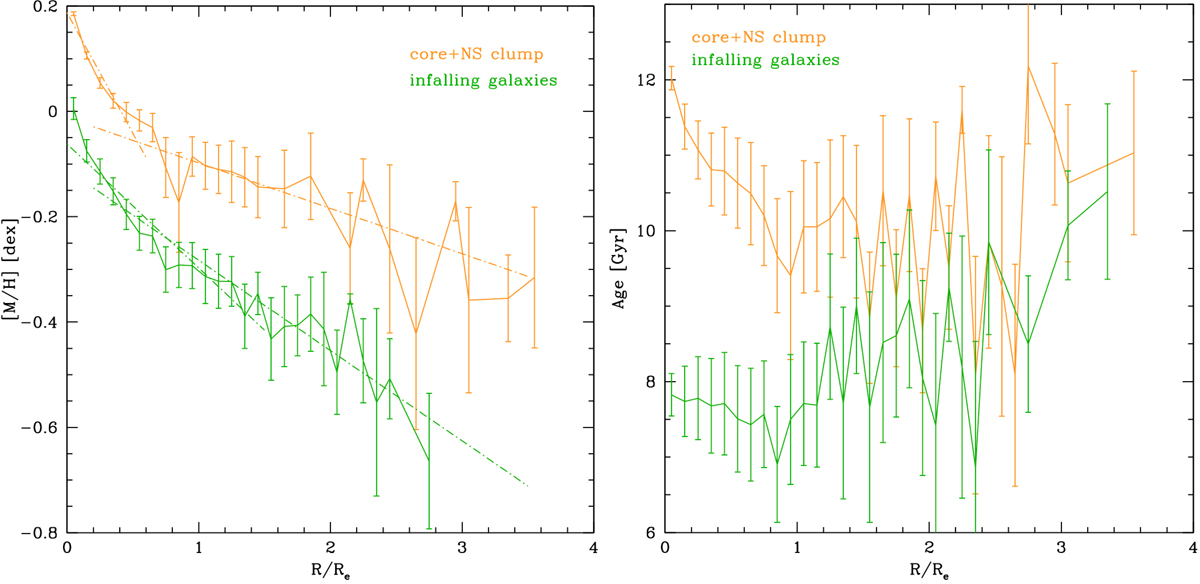
Running mean as a function of radius of the azimuthally-averaged metallicity (left panel) and age (right panel) for the sample galaxies in the core-NS clump (orange symbols) and for those infalling in the Fornax cluster (green symbols). The dash-dotted lines represent the fits to the metallicity gradients between transition radii. The dash-dotted lines represent the fits to the metallicity gradients in the two regions defined by transition radii Rtr, 1 and Rtr, 2. The error bars trace the dispersion of the points around the mean trend. The radial profiles of the stellar kinematics and population properties of the three edge-on galaxies, FCC 153, FCC 170, and FCC 177, have been excluded from the mean.
Current usage metrics show cumulative count of Article Views (full-text article views including HTML views, PDF and ePub downloads, according to the available data) and Abstracts Views on Vision4Press platform.
Data correspond to usage on the plateform after 2015. The current usage metrics is available 48-96 hours after online publication and is updated daily on week days.
Initial download of the metrics may take a while.