Open Access

Fig. 3.

image

Download original image

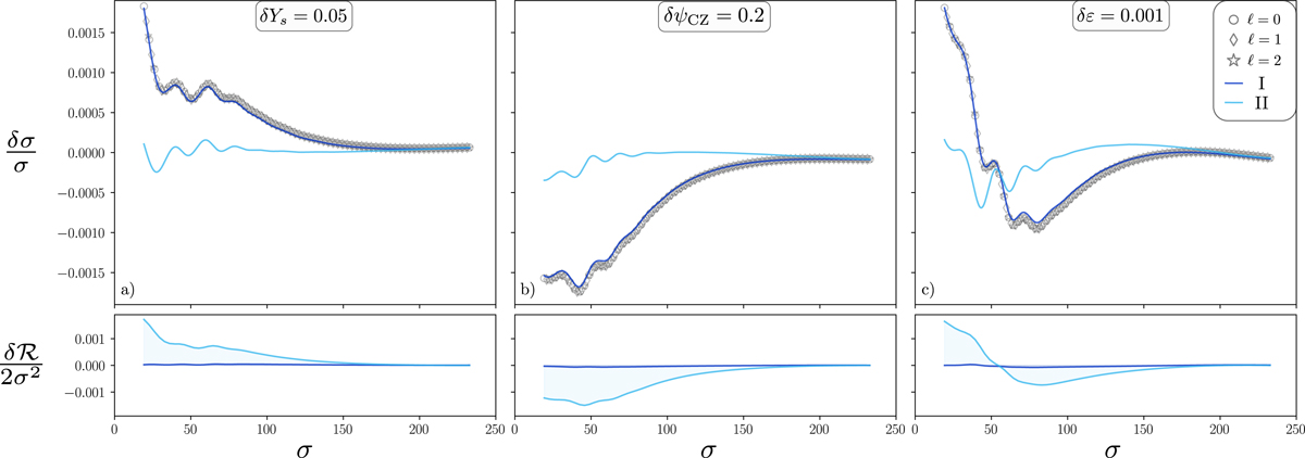
Comparison of numerically derived glitches δσ/σ (black symbols, 0 ≤  ≤ 2, 5 ≤ n ≤ 70) with both modelled expressions (dark blue curves) and (light blue curves) given by Eqs. (18) and (19) for three differences in the parameters: (a) δYs = 0.05, (b) δψCZ = 0.2, and (c) δε = 0.001. The bottom panels show the residual functions δℛ/2σ2 for both approximations.

Current usage metrics show cumulative count of Article Views (full-text article views including HTML views, PDF and ePub downloads, according to the available data) and Abstracts Views on Vision4Press platform.

Data correspond to usage on the plateform after 2015. The current usage metrics is available 48-96 hours after online publication and is updated daily on week days.

Initial download of the metrics may take a while.