Fig. 4

Download original image
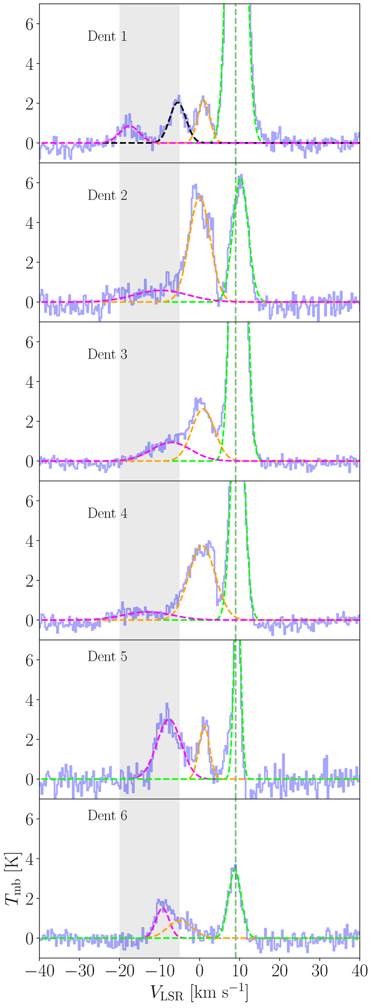
[C ii] 158 μm line profiles using a circular dent-size-width extraction aperture toward the Veil dents listed in Table 1. The vertical dashed green lines indicate the system velocity (+9 km s−1) of Orion. The light green Gaussian fitting line is the OMC, the orange fitting line is the Veil, and the magenta fitting line is the dent. The black line is the component observed at the υLSR of −5 km s−1, a velocity component seen at the south of the Orion Bar PDR in the Huygens region.
Current usage metrics show cumulative count of Article Views (full-text article views including HTML views, PDF and ePub downloads, according to the available data) and Abstracts Views on Vision4Press platform.
Data correspond to usage on the plateform after 2015. The current usage metrics is available 48-96 hours after online publication and is updated daily on week days.
Initial download of the metrics may take a while.