Open Access

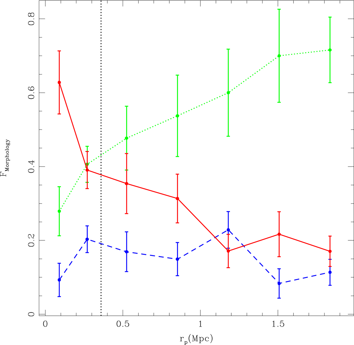
Fig. 2.

image

Download original image

Fraction of morphological classified galaxies as a function of the projected distance to the cD galaxy. Solid red, dashed blue, and dotted green lines correspond to elliptical, spiral and uncertain galaxies, respectively. The vertical dotted black line indicates the boundary between the defined inner and outer regions.

Current usage metrics show cumulative count of Article Views (full-text article views including HTML views, PDF and ePub downloads, according to the available data) and Abstracts Views on Vision4Press platform.

Data correspond to usage on the plateform after 2015. The current usage metrics is available 48-96 hours after online publication and is updated daily on week days.

Initial download of the metrics may take a while.