Open Access

Fig. 10.

image

Download original image

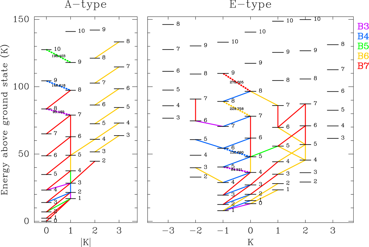
Diagram of the energy levels for A-type (left) and E-type (right) methanol transitions covered by ALCHEMI. The x-axis gives the quantum number K, while the number for each level gives J. The transitions used in the analysis are indicated with a color code corresponding to ALMA bands, as given in the top right corner. The maser candidate lines are presented as dashed lines, with their frequency in GHz. We note the energy difference of 7.9 K between the ground state of A and E-type.

Current usage metrics show cumulative count of Article Views (full-text article views including HTML views, PDF and ePub downloads, according to the available data) and Abstracts Views on Vision4Press platform.

Data correspond to usage on the plateform after 2015. The current usage metrics is available 48-96 hours after online publication and is updated daily on week days.

Initial download of the metrics may take a while.