Fig. 2

Download original image
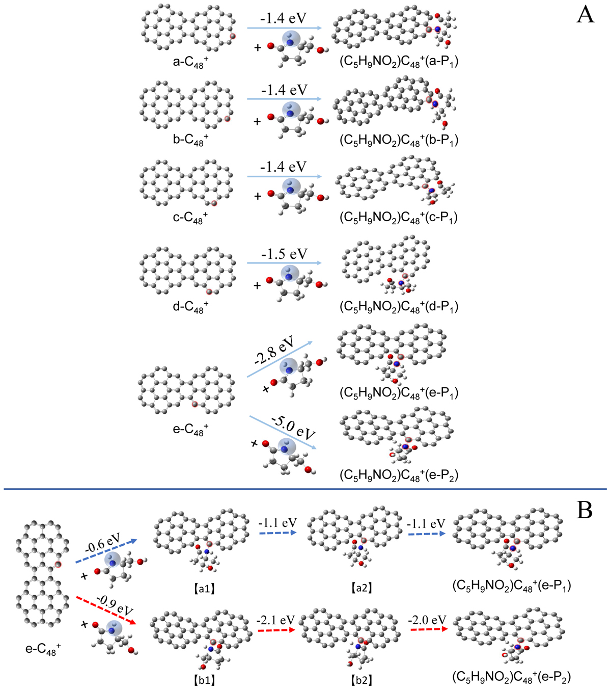
Reaction pathways and the optimized structures of : panel A based on the >NH functional group and five typical edged-carbon sites of
. Panel B: intermediate reaction states of
reaction with C5H9NO2 (>NH). The blue line connects the intermediate state to product
. The red line connects the intermediate state to product
. Selection drawn from the 6-311++G** basis set.
Current usage metrics show cumulative count of Article Views (full-text article views including HTML views, PDF and ePub downloads, according to the available data) and Abstracts Views on Vision4Press platform.
Data correspond to usage on the plateform after 2015. The current usage metrics is available 48-96 hours after online publication and is updated daily on week days.
Initial download of the metrics may take a while.