Open Access

Fig. 7

image

Download original image

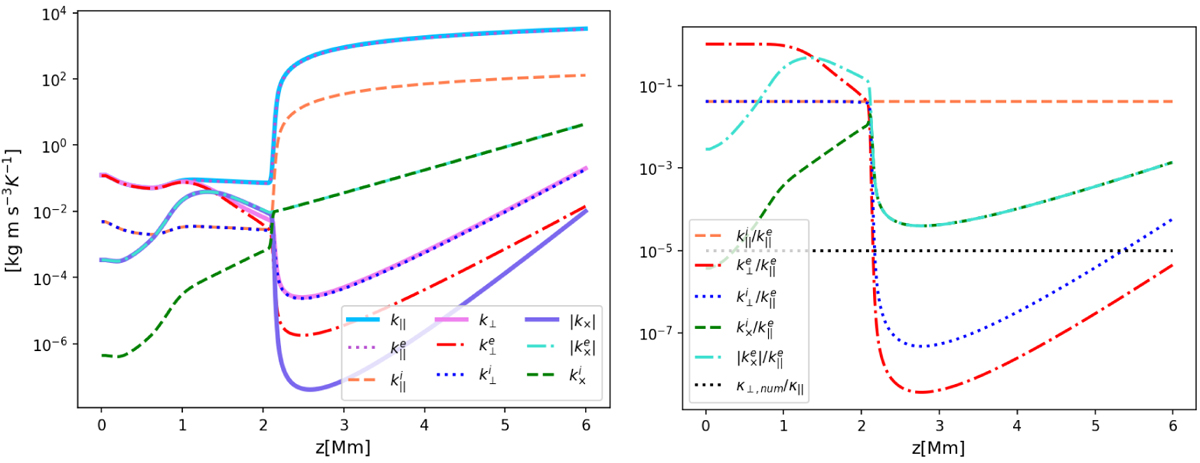
Thermal conductivity coefficients for a stratified solar atmosphere with the temperature model of Vernazza et al. (1981) extended to the corona and a magnetic field for the quiet sun given by Eq. (39). Left panel: different components for ions and electrons. Right panel: ratios between different conductivity coefficients and the parallel electron conductivity coefficient.

Current usage metrics show cumulative count of Article Views (full-text article views including HTML views, PDF and ePub downloads, according to the available data) and Abstracts Views on Vision4Press platform.

Data correspond to usage on the plateform after 2015. The current usage metrics is available 48-96 hours after online publication and is updated daily on week days.

Initial download of the metrics may take a while.