Fig. 4

Download original image
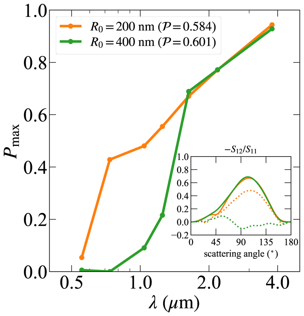
Effect of monomer size for the aggregates with a porosity of ~59%. The orange and green lines are the results for R0 = 200 nm (BAM2 clusters of 128 monomers) and 400 nm (BAM1 clusters of 16 monomers), respectively. The porosity of each aggregate is indicated in the legend. The inset panel shows the angular dependence of the degree of polarization (−S12/S11) at two wavelengths (solid lines: λ = 1.63 μm, dotted lines: λ = 1.04 μm).
Current usage metrics show cumulative count of Article Views (full-text article views including HTML views, PDF and ePub downloads, according to the available data) and Abstracts Views on Vision4Press platform.
Data correspond to usage on the plateform after 2015. The current usage metrics is available 48-96 hours after online publication and is updated daily on week days.
Initial download of the metrics may take a while.