Fig. 6

Download original image
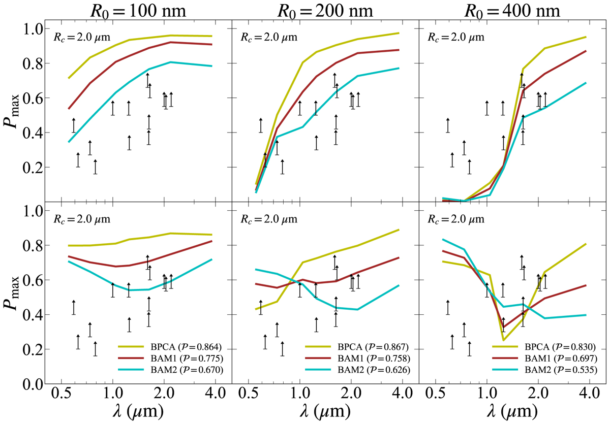
Effect of porosity on the maximum polarization for the aggregates with Rc = 2.0 μm with the org (upper panels) and amc (lower panels) compositions. From left to right: monomer radius of the aggregates is R0 = 100, 200, and 400 nm, respectively. The yellow, brown, and cyan lines represent the results for BPCA, BAM1, and BAM2. The porosity of each aggregate model, ℘, is indicated in each legend.
Current usage metrics show cumulative count of Article Views (full-text article views including HTML views, PDF and ePub downloads, according to the available data) and Abstracts Views on Vision4Press platform.
Data correspond to usage on the plateform after 2015. The current usage metrics is available 48-96 hours after online publication and is updated daily on week days.
Initial download of the metrics may take a while.