Open Access
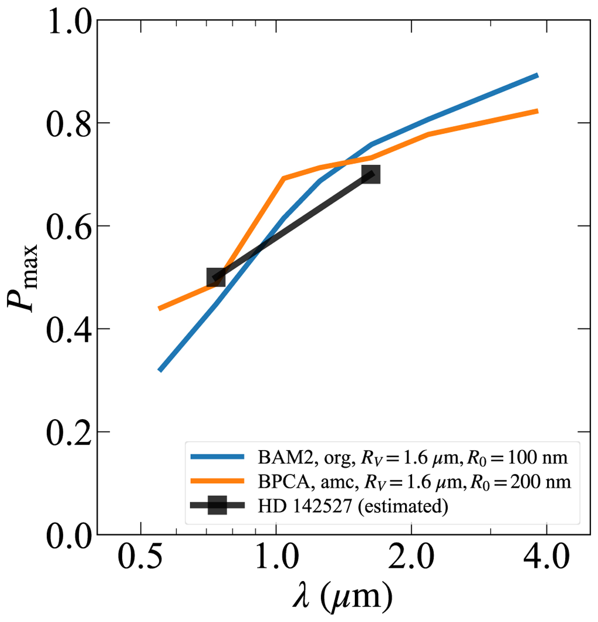
Fig. 8

Download original image
Wavelength dependence of the maximum polarization toward the disk around HD 142527. The orange and blue lines show BPCA clusters with amc-200 monomers and BAM2 clusters with org-100 monomers, respectively. Both aggregate models have RV = 1.6 μm.
Current usage metrics show cumulative count of Article Views (full-text article views including HTML views, PDF and ePub downloads, according to the available data) and Abstracts Views on Vision4Press platform.
Data correspond to usage on the plateform after 2015. The current usage metrics is available 48-96 hours after online publication and is updated daily on week days.
Initial download of the metrics may take a while.