Open Access
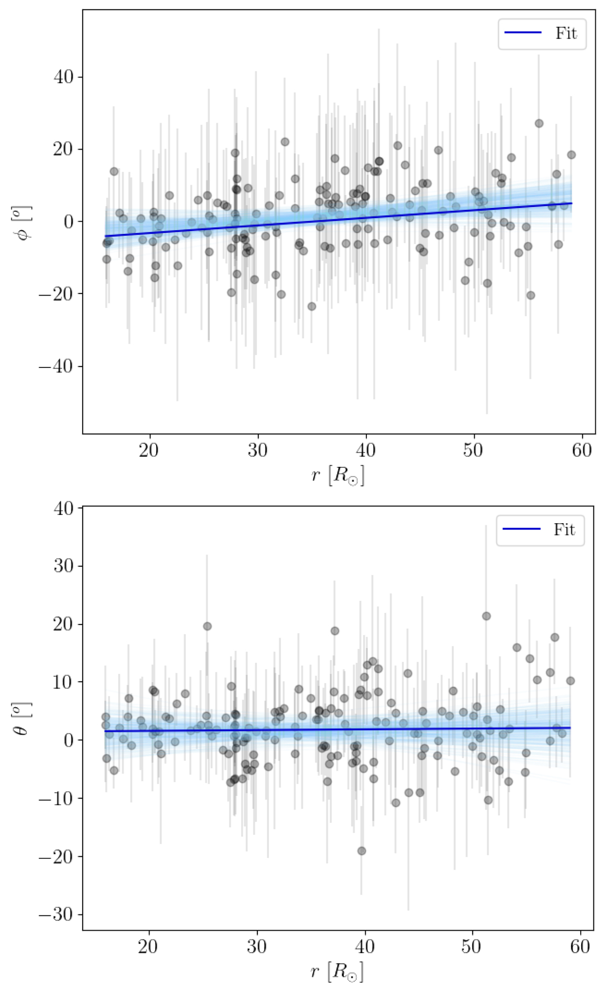
Fig. 3.

Download original image
Orientation angles of the quiet solar wind intervals given in Table 1 as a function of radial distance to the Sun. The median value of each interval is plotted (gray dots) with the dispersion inside the interval (error bar).
Current usage metrics show cumulative count of Article Views (full-text article views including HTML views, PDF and ePub downloads, according to the available data) and Abstracts Views on Vision4Press platform.
Data correspond to usage on the plateform after 2015. The current usage metrics is available 48-96 hours after online publication and is updated daily on week days.
Initial download of the metrics may take a while.